Influencia del aislamiento por COVID-19 en el rendimiento académico en estudiantes universitarios de ingenierías
Influence of COVID-19 isolation on academic performance in engineering university students
Rómulo Danilo Arévalo Hermida danylo.ah@hotmail.com Universidad Laica Eloy Alfaro de Manabí. Ecuador
DOI: https://doi.org/10.31644/IMASD.29.2022.a02 Recepción: 06 enero 2021 Aceptación: 21 de septiembre 2021 Publicación: 01 de febrero 2022
Resumen
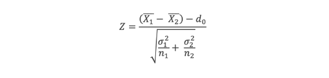
El brote de la enfermedad COVID-19 ha causado grandes estragos a nivel global, la educación ha utilizado las tecnologías de la información y comunicación (TIC) para transformar la enseñanza presencial en virtual. Con la implementación, en Ecuador, del aislamiento preventivo obligatorio (APO), las instituciones de educación superior aplicaron estrategias que, apoyadas en las TIC, proporcionaron un ambiente propicio para la teleeducación, sin embargo, los estudiantes, a pesar de encontrarse en sus hogares, sufren los estragos del aislamiento. Por lo antes mencionado, esta investigación pretende determinar la influencia en el rendimiento académico de los estudiantes de las carreras de ingeniería de la Universidad Laica Eloy Alfaro de Manabí extensión El Carmen debido a la aplicación del APO, para lo cual, se aplicó un análisis cuantitativo basado en las calificaciones del total de estudiantes matriculados en los periodos 2019(2) y 2020(1), posteriormente con la herramienta informática MiniTab y SPSS se tabularon e interpretaron los datos. Con los resultados alcanzados se determinó que el aislamiento ha tenido un impacto significativo en los alumnos, en particular en estudiantes de género femenino en comparación con los hombres.
Palabras clave: Educación superior; Teleeducación; Rendimiento académico; COVID-19; Aislamiento
-Abstract-
The outbreak of the COVID-19 disease caused a great damage globally, where education has used the information and communication technologies (ICT) to transform face-to-face teaching to virtual one. The implementation in Ecuador of mandatory preventive isolation (APO), higher education institutions applied strategies that, supported by ICT, provided an environment conducive to tele-education, however, students despite to be at home suffer the ravages of isolation. Due to the aforementioned, this research aims to determine the influence in the academic performance of students of engineering careers of the Laica Eloy Alfaro de Manabí University extension El Carmen due to the application of the APO, for that, a quantitative analysis was applied based on the scores of the total students enrolled in the periods 2019 (2) and 2020 (1), the data was tabulated and interpreted using the informatic tool MiniTab and SPSS. With the results achieved, it was determined that isolation has had a significant impact on students, particularly male students compared to female students.
Keywords: higher education; tele-education; academic achievement; COVID-19; isolation