Uso del vidrio molido como sustituto del agregado fino en mezclas de mortero de albañilería

Crushed glass as a substitute of the fine aggregate in mixes of masonry mortars

Francisco Geovani Izquierdo Domínguez francisco_izquierdo@outlook.com Universidad Juárez Autónoma de Tabasco, División Académica de Ingeniería y Arquitectura Villahermosa, Tabasco México
René Sebastián Mora Ortiz rene.mora@ujat.mx Universidad Juárez Autónoma de Tabasco, Villahermosa, Tabasco México
Teresita de Jesús Mora Ortiz teresita.mora@uagtabasco.edu.mx Universidad Autónoma de Guadalajara, Campus Tabasco Villahermosa Tabasco, México
Emmanuel Munguía Balvanera emmanuel.munguia@ujat.mx Universidad Juárez Autónoma de Tabasco, División Académica de Ingeniería y Arquitectura Villahermosa Tabasco, México

DOI: https://doi.org/10.31644/IMASD.29.2022.a04

Recepción: 27 de abril 2021 Aceptación: 21 de septiembre 2021 Publicación: 01 de febrero 2022

Resumen

La disposición inadecuada de los Residuos de la Construcción y Demolición (RCD), en especial del vidrio, acarrea muchos problemas económicos y ambientales. Por esta razón el objetivo de esta investigación es evaluar los efectos del uso del vidrio triturado como sustituto parcial de la arena natural en la elaboración de mortero de albañilería, específicamente su comportamiento respecto a la resistencia a la compresión. Para lograr lo anterior, se diseñó una mezcla de mortero convencional (cemento, arena y agua) con una proporción de cemento-arena 1:4 que funcionó como mezcla de control. Basándose en el diseño de la mezcla base se realizaron sustituciones parciales en peso seco de la arena natural por vidrio triturado en las proporciones de 10%, 20%, 40%, 60%, 80% y 100%. Una vez elaborados los morteros, se sometieron a un proceso de curado por inmersión en agua y posteriormente se ensayaron a las edades de curado de 7, 14 y 28 días. Los resultados experimentales demostraron que, con respecto al mortero convencional, sustituir a la arena por vidrio triturado hasta en un 20% aumenta la resistencia a la compresión de los morteros. Por lo anterior, reutilizar el vidrio triturado como sustituto parcial de la arena es una opción viable y además contribuye a la protección de los bancos de agregados naturales y a la reducción de la acumulación excesiva de vidrio en vertederos municipales.

Palabras clave: Mortero; Sustentabilidad; RCD; Vidrio triturado

-Abstract-

The inappropriate disposal of Waste from Construction and Demolition (WCD), particularly glass, leads to many economic and environmental problems. Therefore, the main goal of this research was to evaluate the effects of reusing crushed glass as a partial substitute for natural sand on the compressive strength of masonry mortars. To achieve the above, a conventional mortar mixture (cement, sand, and water) was designed in a 1:4 ratio of cement-sand which works as a control mixture. Based on the design of the base mixture, partial substitutions in dry weight of the natural sand were made for crushed glass in the proportions 10%, 20%, 40%, 60%, 80%, and 100%. Once the mortars were made, they were subjected to a curing process by immersion in water and subsequently tested at curing ages of 7, 14, and 28 days. The experimental results showed that, compared to conventional mortar, replacing sand with crushed glass by 10% increases the compressive strength of mortars, while if the natural aggregate is replaced by 20%, the resistance is like the control mortar. Consequently, reusing crushed glass as a partial substitute for sand is a viable option and contributes to the protection of material banks of natural aggregates and the reduction of excessive accumulation of glass in municipal landfills.

Keywords: mortar; sustainability; WCD; crushed glass

Introducción

Los Residuos de la Construcción y Demolición (RCD) tal y como su nombre lo indica, provienen de las actividades de construir, demoler, rehabilitar y restaurar estructuras. El desarrollo económico en diversos países ha generado un gran impulso en la industria de la construcción, lo que se refleja en nuevas estructuras y en la remodelación de las antiguas. Sin embargo, este progreso genera grandes cantidades de RCD. En nuestro país se generan al día más de 30,000 toneladas de RCD, de los cuales, el porcentaje reciclado es prácticamente nulo (Ceñal Ruiz: 2015). Estimaciones de la Cámara Mexicana de la Industria de la Construcción revelan que los RCD están constituidos en 39% por material de excavación, 25% residuos de concreto y morteros, 24% escombros de tabiques, mamposterías y adoquines; y 12% de materiales como metales, vidrio y madera (CMIC, 2013). El vertido sin separación ni tratamiento del RCD (frecuentemente en sitios clandestinos), genera un impacto ambiental relevante. A consecuencia del manejo inadecuado de los RCD, éstos se acumulan sin control en vertederos clandestinos o son utilizados como relleno de predios causando problemas ambientales, de salud pública y una mala imagen urbana.

La ingeniería civil moderna tiene dos objetivos principales: elaborar materiales de calidad y reducir costos de producción, ambos aspectos cuidando el medio ambiente. Por esta razón, en los últimos años, diversos investigadores han estudiado la reutilización del RCD, específicamente los escombros triturados de concreto y/o mortero, como sustitutos parciales de la grava o arena en la fabricación de nuevas mezclas de concreto y mortero (Jiménez, et al., 2013; Ledesma, et al., 2014; Mora-Ortiz, et al., 2020). A estos nuevos agregados, que tienen su origen en la trituración del RCD, se les conoce como agregados reciclados (AR).

Un material que forma parte del RCD y que no ha sido tan aprovechado como los escombros de concreto y mortero es el vidrio. Lo anterior ha favorecido su acumulación excesiva en los vertederos de las ciudades de México y el mundo. Reutilizar el vidrio como sustituto parcial de la arena en la fabricación de morteros permitiría obtener beneficios económicos y ambientales, dependiendo de los usos finales y de la escala de producción (Shi y Zheng, 2007). El vidrio es un material que debido a sus características físicas no ha sido estudiado tan exhaustivamente como otros elementos del RCD (Marco, et al., 2012), razón por la cual las investigaciones sobre este material son escasas. Queda claro que con respecto al aprovechamiento del vidrio que forma parte del RCD hay bastante trabajo por hacer. No obstante, en la última década, diversos investigadores han realizado valiosas aportaciones en el aprovechamiento de este material, por ejemplo, Mardani-Aghabaglou, et al., (2015) analizaron el desempeño del vidrio triturado en la elaboración de concreto concluyendo que, si bien el reemplazo de la arena por vidrio en mezclas de concreto disminuía la resistencia, aspectos tales como la durabilidad aumentaban. Por su parte, Mirzahosseini y Riding (2014) y Nassar y Soroushian (2012a, 2012b) demostraron que utilizar vidrio en mezclas de concreto en sustitución parcial del cemento mejora la estabilidad química de las mezclas reduciendo la oxidación del acero de refuerzo. Kou y Xing (2012) utilizaron polvo de vidrio en mezclas de concreto ultraligero concluyendo que la adición de vidrio mejoraba las propiedades mecánicas del concreto. Soliman y Tagnit-Hamou (2016), Hendi, et al., (2019) y Małek, et al., (2021) expusieron que la utilización del vidrio en sustitución de la arena reduce la absorción de agua de las mezclas de concreto, por lo que la mayoría de sus propiedades mecánicas mejoran. Spiesz, et al., (2016) concluyó que además de mejorar algunas propiedades del concreto, el vidrio molido puede utilizarse en la elaboración de concretos translúcidos y ecológicamente amigables.

En cuanto a la utilización del vidrio en morteros de albañilería las referencias son escasas. Marco, et al., (2012) realizaron pruebas de resistencia a especímenes de morteros, añadiendo polvo de vidrio y otros compuestos químicos, los resultados demostraron que el polvo de vidrio como conglomerante fundamental interviene favorablemente en el desarrollo de la resistencia a la compresión. En este sentido, con resultados tan prometedores, es indispensable seguir en esta línea de investigación. El objetivo de este artículo es determinar la cantidad óptima de vidrio triturado que puede añadirse a las mezclas de morteros sin que éstos vean reducidas sus resistencias a compresión de manera significativa. Es decir, se pretende conocer el porcentaje óptimo de sustitución de la arena natural (AN) por vidrio molido que permite obtener resistencias a la compresión similares a las que se obtienen en el mortero convencional (arena + cemento + agua).

Esta investigación es la primera parte de un proyecto universitario que pretende incentivar el reciclado del vidrio mediante su aprovechamiento en la elaboración de mezclas de mortero de albañilería, con esto se lograría aumentar el ciclo de vida de este material, reducir su acumulación en vertederos clandestinos, disminuir la contaminación, proteger los bancos de arena natural y producir morteros de albañilería más baratos.

Metodología

Caracterización de materiales

El primer paso fue caracterizar los materiales a utilizar. En la figura 1 se presentan las distribuciones granulométricas de la arena natural (AN) y del vidrio molido utilizadas en esta investigación siguiendo el procedimiento de la norma NMX-C-329-ONNCCE (2016). Se observa que las distribuciones granulométricas se encuentran dentro de los límites establecidos por la norma NMX-C-111-ONNCCE (2014) para agregados finos. La arena natural es de río, tomada del banco Samaria en el municipio de Cunduacán, Tabasco, México. Otras pruebas de laboratorio realizadas sobre la AN fueron las señaladas en las normas NMX-C-416-ONNCCE (2003) y NMX-C-111-ONNCCE (2014), peso específico relativo de sólidos, peso volumétrico, módulo de finura y porcentaje de absorción de agua. Los resultados se muestran en la tabla 1.

Imagen01 Imagen02

El vidrio que se utilizó en la investigación fue recuperado de contenedores para vidrio en una zona de demolición en el municipio de Comalcalco, Tabasco, México. El vidrio tenía un espesor de 5 mm y formaba parte de elementos de cancelería (ventanas). Para que este vidrio pudiese ser utilizado como sustituto de la arena natural en las mezclas de mortero fue necesario darle el tamaño de una partícula de arena (figura 2), por lo que se trituró con la ayuda de un mazo de goma. La densidad de las partículas de vidrio fue 2.44 g/cmz3 y su absorción de agua fue de 0.12%.

Imagen03

El cemento que se utilizó fue Portland Tipo II Compuesto marca Cruz Azul, de clase resistente 30 R, resistente a los sulfatos (Cruz Azul Tipo II CPC 30 R RS), con peso volumétrico de 1510 kg/m3 y densidad relativa 3.15. Este cemento cumple con las normas NMX-C-414-ONNCCE (2017) y ASTM-C-595/C-595M-19 (2019). El agua utilizada para todas las mezclas de mortero fue agua destilada. Las mezclas utilizadas en esta investigación se elaboraron en un laboratorio con temperatura controlada (25º C ±2).

Procedimiento

Para cumplir con el objetivo de esta investigación fue necesario elaborar una mezcla que serviría como parámetro de control, por lo cual, se realizó una mezcla de mortero convencional (cemento + arena + agua) en una proporción 1:4 (cemento-arena). El diseño de la mezcla se realizó siguiendo el método propuesto por Saad (1979). Esta dosificación se utilizó en todas las mezclas siguiendo el mismo procedimiento y en las mismas condiciones. En la tabla 2 (primer renglón), se muestran las cantidades de cemento, arena y agua para hacer nueve cubos de mortero de 5 cm por lado.

Imagen04

Para la elaboración de la mezcla de control, se vertió en primer lugar la arena en el contenedor de una mezcladora estándar de mortero y se mezcló a una velocidad de 140 rpm durante 30 segundos, después se agregó el cemento y se mezcló por 30 segundos más, por último, se agregó gradualmente el agua y se dejó mezclar durante, aproximadamente, un minuto (figura 3).

Imagen05

Una vez obtenida la mezcla, se procedió a llenar cada uno de los 9 moldes metálicos (previamente engrasados) en tres capas, y en cada capa se aplicó 25 golpes de manera uniforme para retirar la mayor cantidad de aire atrapado. Se dejó reposar los moldes con mortero durante 24 horas. Una vez fraguados todos los cubos del mortero de control, éstos se desmontaron de los moldes y se les colocó una numeración para su identificación. En seguida, cada mortero se sumergió en la pila de curado (con agua limpia), con el propósito de hidratar el mortero y, posteriormente, se sacaron de la pila de tres en tres a los 7, 14 y 28 días de curado, para ser ensayados a compresión simple en una prensa eléctrica digital marca DAVI.

Partiendo de la dosificación del mortero de control (tabla 2), se fabricaron los morteros con sustitución parcial de la AN por vidrio molido. Para lograr lo anterior, se realizó una sustitución gradual en peso seco de la arena por el vidrio triturado en las proporciones 10%, 20%, 40%, 60%, 80% y 100%. La tabla 2 presenta las cantidades utilizadas en todas las mezclas de mortero. El proceso de fabricación y ensayo de estos morteros fue exactamente el mismo que el mortero de control. En total se ensayaron 63 especímenes de mortero. La figura 4 muestra un espécimen de mortero elaborado con 80% de vidrio y 20% de arena, su edad de curado es de 28 días.

Imagen06

Resultados

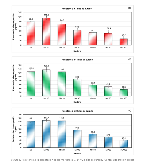
La figura 5 exhibe los resultados de los ensayos de resistencia a la compresión simple de todos los morteros analizados, así como su desviación estándar. La figura 5a muestra las resistencias de todos los morteros a los 7 días de curado, mientras que las figura 5b y 5c, muestran las resistencias a los 14 y 28 días de curado, respectivamente.

Imagen07

Se observa que todos los morteros incrementan su resistencia conforme aumentan los días de curado, de manera que a los 28 días registran la su resistencia más alta, para el caso del mortero convencional (Mc) ésta fue de 143.1 kg/cm2. Es interesante observar que el mortero con 10 % de sustitución de arena por vidrio molido (Mv*10), desarrolla una resistencia mayor que el mortero de control a todas las edades de curado, tal que, para los 7, 14 y 28 días, se registraron aumentos en la resistencia del 15.46%, 8.14% y 3.21%, respectivamente. La razón por la que los morteros Mv*10 desarrollaron mayor resistencia final (28 días de curado) en comparación con el mortero convencional radica en el porcentaje de finos que contenía el vidrio molido. Este vidrio fino (menor a 0.075 mm) llenó las pequeñas oquedades que se forman entre los granos de arena, por lo que al reducir la porosidad de los morteros la resistencia aumentó. Investigadores como Vegas, et al., (2009) y Jiménez, et al., (2013) llegaron a las mismas conclusiones al utilizar como sustituto de la arena escombro de concreto finamente molido.

En lo que respecta al mortero con 20% de sustitución de arena por vidrio molido (Mv*20) se observa que a los 7 días su resistencia es 10.24% menor que el mortero Mc, a los 14 días su resistencia es prácticamente la misma y para los 28 días de curado es 1.89% mayor. Al igual que en el caso de los morteros Mv*10, la razón del incremento de la resistencia final se debe al contenido de vidrio fino. Sin embargo, la resistencia a los 28 días de los morteros Mv* 20, es menor que la resistencia que se consigue a la misma edad con los morteros Mv*10. Lo anterior se debe a dos razones: 1) el vidrio posee una superficie lisa que dificulta la adherencia de la pasta de cemento con esta partícula, por lo que sustituir 20% de arena natural por vidrio representa una mayor cantidad de partículas con deficiencias en su adhesión y, 2) la densidad individual de las partículas de vidrio (2.44 g/cm3) es menor con respecto a las de la arena natural (2.60 g/cm3). Por lo anterior, aumentar la cantidad de vidrio (después del 20%) en las mezclas de mortero genera morteros más livianos y a la larga menos resistentes. Prueba de lo anterior es que a partir del 40% de sustitución de la arena natural por vidrio, se observa una disminución gradual e importante de la resistencia a la compresión, de manera que el mortero con la menor resistencia es el elaborado con 100% de sustitución de arena por vidrio (Mv*100). Es decir, para altos porcentajes de sustitución, el efecto benéfico de la adición del vidrio fino molido (visto en los morteros Mv*10) es anulado por la deficiencia en la adherencia entre la pasta de cemento y el vidrio.

Conclusiones

En esta investigación se analizó el efecto de reemplazar parcialmente la arena natural por vidrio molido, en relación con la resistencia a la compresión de morteros de albañilería. Los resultados experimentales demostraron que, en general, aumentar la cantidad de vidrio en las mezclas de mortero repercute negativamente en la resistencia de los morteros. Esto se debe esencialmente a la baja densidad de las partículas de vidrio con respecto a la densidad de las partículas de arena, así como a la menor adhesión de la pasta de cemento con la superficie lisa del vidrio. Sin embargo, para los porcentajes de sustitución de la arena por vidrio de 10% y 20%, no se afectó la resistencia, si no que se mejoró ligeramente, esto último con respecto a la resistencia exhibida por el mortero de control. Lo anterior, permite concluir que reutilizar el vidrio como sustituto parcial de la arena en mezclas de mortero es una opción viable, siempre y cuando el porcentaje de sustitución no sea mayor a 20% en peso seco. Con lo anterior, se logrará incrementar el ciclo de vida de este material, se contribuirá a la conservación del medio ambiente al evitar su acumulación excesiva en vertederos y se protegerán los bancos naturales de arena.

Referencias

ASTM-C-595/C-595M-19. (2019). Standard Specification for Blended Hydraulic Cements. ASTM International.

Ceñal R., B. (2015). Problemática de los residuos de la construcción y demolición [Universidad Nacional Autónoma de México]. http://www.ptolomeo.unam.mx:8080/xmlui/bitstream/handle/132.248.52.100/10070/Final.pdf?sequence=1

CMIC (2013). Plan de manejo de residuos de la construcción y la demolición. Cámara Mexicana de La Industria de La Construcción. https://www.cmic.org.mx/comisiones/Sectoriales/medioambiente/Flayer/PMRCDCompleto.pdf

Hendi, A., Mostofinejad, D., Sedaghatdoost, A., Zohrabi, M., Naeimi, N., & Tavakolinia, A. (2019). Mix design of the green self-consolidating concrete: Incorporating the waste glass powder. Construction and Building Materials, 199, 369–384. https://doi.org/10.1016/j.conbuildmat.2018.12.020

Jiménez, J. R., Ayuso, J., López, M., Fernández, J. M., & Brito, J. De. (2013). Use of fine recycled aggregates from ceramic waste in masonry mortar manufacturing. Construction and Building Materials, 40, 679–690. https://doi.org/10.1016/j.conbuildmat.2012.11.036

Kou, S. C., & Xing, F. (2012). The Effect of Recycled Glass Powder and Reject Fly Ash on the Mechanical Properties of Fibre-Reinforced Ultrahigh Performance Concrete. Advances in Materials Science and Engineering, 2012, 1–8. https://doi.org/10.1155/2012/263243

Ledesma, E. F., Jiménez, J. R., Fernández, J. M., Galvín, A. P., Agrela, F., & Barbudo, A. (2014). Properties of masonry mortars manufactured with fine recycled concrete aggregates. Computers and Chemical Engineering, 71, 289–298. https://doi.org/10.1016/j.conbuildmat.2014.08.080

Małek, M., Łasica, W., Kadela, M., Kluczyński, J., & Dudek, D. (2021). Physical and Mechanical Properties of Polypropylene Fibre-Reinforced Cement–Glass Composite. Materials, 14(3), 637. https://doi.org/10.3390/ma14030637

Marco, J., García, E., Más, M. I., Alcaraz, V., & Luizaga, A. (2012). Estudio de la resistencia a compresión de morteros fabricados con conglomerante compuesto de polvo de vidrio. Informes de La Construcción 64(528), 529–536. https://doi.org/10.3989/ic.11.100

Mardani-Aghabaglou, A., Tuyan, M., & Ramyar, K. (2015). Mechanical and durability performance of concrete incorporating fine recycled concrete and glass aggregates. Materials and Structures, 48(8), 2629–2640. https://doi.org/10.1617/s11527-014-0342-3

Mirzahosseini, M., & Riding, K. A. (2014). Effect of curing temperature and glass type on the pozzolanic reactivity of glass powder. Cement and Concrete Research, 58, 103–111. https://doi.org/10.1016/j.cemconres.2014.01.015

Mora-Ortiz, R. S., Munguía-Balvanera, E., Díaz, S. A., Magaña-Hernández, F., Del Angel-Meraz, E., & Bolaina-Juárez, Á. (2020). Mechanical behavior of masonry mortars made with recycled mortar aggregate. Materials, 13(10). https://doi.org/10.3390/ma13102373

Nassar, R.-U.-D., & Soroushian, P. (2012a). Strength and durability of recycled aggregate concrete containing milled glass as partial replacement for cement. Construction and Building Materials, 29, 368–377. https://doi.org/10.1016/j.conbuildmat.2011.10.061

Nassar, R.-U.-D., & Soroushian, P. (2012b). Green and durable mortar produced with milled waste glass. Magazine of Concrete Research, 64(7), 605–615. https://doi.org/10.1680/macr.11.00082

NMX-C-111-ONNCCE. (2014). Industria de la Construcción - Agregados para Concreto Hidráulico - Especificaciones y Métodos de Ensayo. Organismo Nacional de Normalización y Certificación de La Construcción y Edificación, S.C. (ONNCCE).

NMX-C-329-ONNCCE. (2016). Industria de la Construcción - Cementantes Hidráulicos - Determinación de la Granulometría de la Arena de Sílice Utilizada en la Preparación de los Morteros de Cementantes Hidráulicos. Organismo Nacional de Normalización y Certificación de La Construcción y Edificación, S.C. (ONNCCE).

NMX-C-414-ONNCCE. (2017). Industria de la Construcción - Cementantes Hidráulicos - Especificaciones y Métodos de Ensayo. Organismo Nacional de Normalización y Certificación de La Construcción y Edificación, S.C. (ONNCCE).

NMX-C-416-ONNCCE. (2003). Industria de la construcción - muestreo de estructuras térreas y métodos de prueba. Organismo Nacional de Normalización y Certificación de La Construcción y Edificación, S.C. (ONNCCE).

Saad, A. M. (1979). Tratado de construcción (C. E. Continental (ed.)).

Shi, C., & Zheng, K. (2007). A review on the use of waste glasses in the production of cement and concrete. Resources, Conservation and Recycling, 52(2), 234–247. https://doi.org/10.1016/j.resconrec.2007.01.013

Soliman, N. A., & Tagnit-Hamou, A. (2016). Development of ultra-high-performance concrete using glass powder – Towards ecofriendly concrete. Construction and Building Materials, 125, 600–612. https://doi.org/10.1016/j.conbuildmat.2016.08.073

Spiesz, P., Rouvas, S., & Brouwers, H. J. H. (2016). Utilization of waste glass in translucent and photocatalytic concrete. Construction and Building Materials, 128, 436–448. https://doi.org/10.1016/j.conbuildmat.2016.10.063

Vegas, I., Azkarate, I., Juarrero, A., & Frías, M. (2009). Diseño y prestaciones de morteros de albañilería elaborados con áridos reciclados procedentes de escombro de hormigón. Materiales de Construcción, 59(295), 5–18. https://doi.org/10.3989/mc.2009.44207