Cálculo de áreas y equilibrio estático de bóvedas de cañón con lunetos

Calculation of areas and static equilibrium of barrel vaults with lunettes

Diego Miramontes de León dmiram@uaz.edu.mx Doctorat (Structures) – Institut National des Sciences Appliquées Lyon, France
Facultad de Ingeniería, Universidad Autónoma de Zacatecas, Zacatecas, México
orcid https://orcid.org/0000-0002-9565-4108

DOI: https://doi.org/10.31644/IMASD.30.2022.a08

Recepción: 11 de agosto 2021 Aceptación: 30 de noviembre 2021 Publicación: 01 de junio 2022

Resumen

Las estructuras de fábrica se concibieron a partir de elementos robustos cuya función esencial es la de soportar fuerzas en compresión. Las dimensiones de estas construcciones surgieron de principios de estática y geometría. Por ello se aborda, en este trabajo, un enfoque puramente geométrico y de equilibrio para determinar las fuerzas que debe soportar una bóveda con lunetos. Para no recurrir a programas sofisticados, se desarrollan ecuaciones propias para el cálculo de la superficie que se genera y a partir de ella, calcular el volumen y peso respectivo.

Las ecuaciones propuestas se comprueban para el caso de una bóveda de arista y se comparan con una solución particular de matemáticas aplicadas. Después de ello, se utilizan en un proyecto de reconstrucción en un templo pequeño en donde se usan materiales propios de la región. Por equilibrio, se revisa la capacidad del material y del elemento estructural en su conjunto.

Palabras clave: Bóveda con lunetos; Bóveda de arista; Equilibrio estático

-Abstract-

The masonry structures were conceived from robust elements whose essential function is to support compressive forces. The dimensions of these constructions arose from principles of statics and geometry. Therefore, in this work, a purely geometric and equilibrium approach is proposed to determine the forces that a vault with lunettes must support. In order to avoid the use of sophisticated programs, new equations are developed to calculate the surface that is generated and from it, calculate the respective volume and weight.

The proposed equations are checked for the case of an edge vault and compared with a particular applied mathematics solution. After that, they are used in a reconstruction project in a small temple where materials from the region are used. By equilibrium conditions, the capacity of the material and the structural element as a whole is checked.

Keywords: vault with lunettes; edge vault; static equilibrium

Antecedentes

En las construcciones antiguas, el empleo del arco representa uno de los elementos estructurales más utilizados para cubrir desde espacios pequeños a grandes. Desde el siglo X se construyeron bóvedas de cañón recto sin ninguna abertura y posteriormente se fueron agregando ventanales, como en la figura 1a) y bóvedas de arista como en la figura 1b). Los arcos fajones representan el apoyo transversal y permiten dividir la bóveda en segmentos cortos. La simbiosis de la bóveda de cañón con lumbreras y la bóveda de arista puede aceptarse como la base para la construcción de la bóveda de cañón con lunetos, en donde las lumbreras se prolongan perpendicularmente como una intersección de dos bóvedas de cañón.

Imagen01

El diseño estructural de estas estructuras masivas, se basó en principios de estática y geometría y entre los firmes defensores de este enfoque se cuenta con Santiago Huerta (2004). Además, los modelos con elementos finitos exigen la adopción de hipótesis físicas de un material poco conocido (Meli, 1998), lo que motiva el desarrollo del presente análisis.

Introducción

Las bóvedas de cañón con lunetos, por lo general con arcos de medio punto, se forman por la intersección perpendicular de dos de ellas (figura 2). Para que corresponda a bóveda con lunetos los diámetros entre una y otra bóveda son diferentes o al menos, deben estar a diferente altura. Cuando los diámetros son iguales y arrancan desde el mismo nivel se puede obtener una bóveda de arista.

La figura 2 muestra una maqueta con dos bóvedas de diámetros diferentes que parten del mismo nivel. En la figura 3 se muestra el caso más común, donde los lunetos tienen una longitud pequeña que se extiende hasta el paño de los muros como en la figura 4, que corresponde al templo de San Pedro y San Pablo en Ecatzingo, Estado de México. Se trata de lunetos similares a los de la figura 3. Obsérvese que el arco extremo de los lunetos tiene una cuerda de dimensión menor a su diámetro, caso que se estudiará en este trabajo. En ese templo, la bóveda delgada próxima a la cúpula colapsó. Se perdió también gran parte del muro lateral, la fachada y el campanario.

Imagen02 Imagen03
Imagen04

Objetivo

En este trabajo se presentan ecuaciones para calcular el volumen de estos dos tipos de bóvedas; con lunetos y de arista. Las ecuaciones se comprueban analíticamente para el segundo caso por tratarse de una comparación directa. Posterior a ello se aplican en forma particular a un proyecto de restauración actual.

Materiales y métodos

Cálculo de áreas

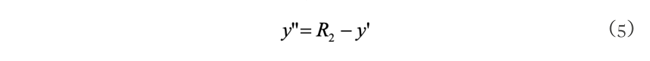
Para desarrollar las ecuaciones, se requieren algunas consideraciones geométricas, como las dadas en las figuras 5 y 6. En la primera se trata de un luneto con su arranque desde el diámetro pero a una altura diferente h, mientras que en 5, además de la condición anterior, el arranque del luneto puede estar a otra altura aún mayor h". El diferencial de área vertical dA permite obtener el área del luneto y el diferencial horizontal dA’ permite obtener el área que se elimina de la bóveda de cañón.

Imagen05

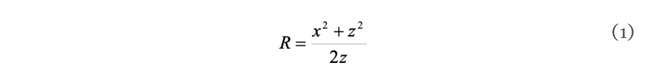
La geometría de base incluye, por lo general, la cuerda y la flecha de la bóveda del cañón y del luneto. Esta cuerda no coincide, en muchas ocasiones, con el diámetro como se vio en la figura 4, por lo que se necesita calcular el radio para ambos casos, esto es R y R2 con la ecuación general (1).

Imagen06 Imagen07

en donde x es media cuerda y z la flecha. De acuerdo a la figura 4, x’ y y’ serían x y z en la ecuación (1) respectivamente. En las figuras 5 y 6 los círculos de la izquierda corresponden a la bóveda de cañón y los de la derecha al luneto. En el caso de la bóveda de arista, en ambas direcciones son bóvedas o son lunetos, según se prefiera nombrar.

Para calcular la superficie del luneto se integrará el diferencial de área dA= l’·dx, mientras que para obtener el área que se extrae de la bóveda se integrará el diferencial dA’= x’·dy. Obsérvese que se usan diferenciales diferentes para cada caso. dA se hace depender de x, y dA’ se hace depender de y.

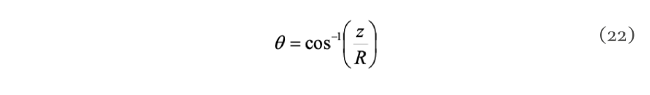
Para calcular el arco l’ del luneto que se forma a la distancia x (círculo izquierdo) se obtendrá x’ (círculo derecho) y así obtener el ángulo θ’. Dado que se conoce el radio, ya sea dato o se haya calculado con la ecuación (1), la longitud depende del ángulo θ’.

Imagen08

De las figuras anteriores,

Imagen09 Imagen10 Imagen11 Imagen12 Imagen13

Por lo tanto se puede expresar l>’ en términos de x como,

Imagen14

Utilizando las ecuaciones (6) y (1), se puede reescribir x’ como,

Imagen15

Por lo anterior se tiene:

Imagen16 Imagen17

Para el correcto uso de las integrales, es necesario definir los límites xi y xf de modo que para el primero xi=0 y para el segundo xf=cuerda a la altura h” de donde arranca el luneto. Si los ejes de los diámetros están a la misma altura y además, el luneto arranca desde esos ejes, h=h”=0 y xi=0, xf=R2. Para ello,

Imagen18 Imagen19

Para los límites yi y yf se tiene:

Imagen20 Imagen21

Primera validación

Para verificar los resultados de las ecuaciones (10) y (11), tómese una bóveda de arista como la mostrada en la figura 7. AL es el área del luneto a calcular, Ah es el área a eliminar por la intersección de las bóvedas y AB es el área completa de la bóveda en una dirección sin lunetos. Para este caso R=R2=5.25m y h=h”=0m.

Imagen22

De las ecuaciones (12) y (13), xi=0.0m, xf=5.25m y de las ecuaciones (14) y (15) yi=0, yf=5.25m. Como comprobación, de la ecuación (7) debe verificarse que xi’=0 y xf’=R2. Ahora de las ecuaciones (10) y (11) :

Imagen23 Imagen24

Esto es, AL=31.46514751456868m2, Ah=55.125m2.

Comprobación

Para probar los resultados anteriores se calculará el área de la bóveda AB hasta donde termina el luneto (figura 7), es decir, a media bóveda, esto es:

Imagen25

Si a AB se resta el área Ah, debe resultar el área del luneto AL, entonces:

AL=AB-Ah            (16)

AL=86.59014751-55.125=31.46514751456868m2

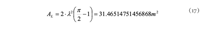
Lo remarcable de las ecuaciones (10) y (11) es que no muestran diferencia en el cálculo de ALcon la ecuación (16). Otra comprobación más del cálculo de AL, se puede encontrar en Salinas y Costa (2017), en donde ½·AL para λ=5.25 se obtiene por:

Imagen26

Nuevamente se obtiene un resultado con diferencia despreciable respecto a la ecuación (10), que a su vez, confirma la validez de la ecuación (11). Se ha exagerado en el número de decimales para probar la exactitud de las ecuaciones propuestas.

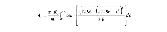
Segunda validación

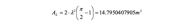
Un segundo ejercicio se hace para un nuevo radio R=3.6m. Como se seguirá considerando una bóveda de arista, los diámetros para ambas bóvedas serán iguales y los lunetos arrancan desde el mismo nivel. Por ello R=R2=3.6m, h=h”=0m, por lo que a partir de las ecuaciones (12) a (15) xi=yi=0, xf=yf=3.6m. Retomando las ecuaciones (10) y (11) se tiene,

Imagen27 Imagen28

Entonces, AL=14.7950407906m2, Ah=25.92m2.

Comprobación

El área de la bóveda es:

Imagen29

Calculando nuevamente el área del luneto con la diferencia del área de la bóveda menos el área hueca (ecuación 16), se tiene,

AL=AB-Ah=14.7950407906m2

Puede verse que al valor de AL coincide con el calculado con la ecuación (10). Si se aplica nuevamente la ecuación (17), ahora con λ=3.6m, se tiene:

Imagen30

Entonces, la ecuación (10) o la ecuación (16) dan el mismo resultado que la ecuación (17) tomada como referencia. Es importante aclarar que la ecuación (17) sólo es aplicable a lunetos completos que arrancan desde el diámetro de su arco extremo. En este trabajo, las ecuaciones ofrecen solución a bóvedas de arista o bóvedas con lunetos, como los de la figura 2.

Resultados y Discusión

Estudio de caso

Una vez revisadas las ecuaciones propuestas, se aplicarán a la bóveda del templo de San Juan en Malinalco, Estado de México. En la figura 8, se aprecian los arcos cubiertos con lona, que sirven de apoyo a las bóvedas ortogonales. La altura de los arcos de la nave principal tienen una altura ligeramente mayor a la de los arcos laterales. Esto se indica en la figura 9. En la figura de la izquierda se representa la bóveda de cañón, quien va en el sentido longitudinal y a la derecha de ella se muestra el luneto, es decir, la vista lateral del templo.

Imagen31 Imagen32

Para los datos del proyecto, se encontró R=4.159m y R2=3.1m. Además h=0.759m y h”=0.25m. Todos los valores anteriores se ajustaron lo mejor posible a los levantamientos topográficos disponibles y tratando de evitar inconsistencias. Obsérvese que el luneto no arranca desde su diámetro. Esto exige que el luneto se integre desde una altura mayor a la de su diámetro y en consecuencia, xf tampoco abarca todo el radio R. Por lo anterior, ahora no es posible, como comprobación, obtener el área del luneto restando las áreas huecas al área de la bóveda, ya que eso sólo es válido para las bóvedas de arista. A partir de aquí sólo se usarán tres decimales, ya que para un caso real resulta inapropiado conservar más de tres decimales.

Los límites para las integrales son:

Imagen33 Imagen34

y los límites yi y yf son:

yi=1.009m

yf=3.859m

Área del luneto AL y área de la intersección Ah,

Imagen35 Imagen36

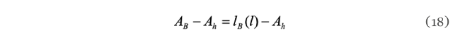
De donde AL=11.237m2 y Ah=16.848m2. El área de la bóveda de cañón con los huecos provocados por la intersección de los lunetos es:

Imagen37

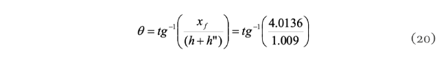
Donde IB es el arco de la bóveda que se obtiene con la ecuación (19) y el ángulo con la ecuación (20) a partir de h" (figura 9).

Imagen38 Imagen39

La longitud de la bóveda l es de 6.18m (figura 9), por lo que AB=68.086m2, de modo que de la ecuación (18), AB-Ah=34.39m2. El área total de la bóveda con lunetos es de 56.864m2.

Equilibrio estático

Si se toma un segmento de bóveda de cañón o un casquete de cúpula en donde se conozca su peso, la reacción vertical en sus bordes debe ser igual al peso de esa sección (figura 10).

Imagen40

Para determinar el peso de cualquiera de las secciones mostradas en la figura 10, se requiere conocer su geometría, lo que indica que en cualquier corte se puede determinar la tangente en todo punto a la altura z. La longitud de arco para la bóveda es un tema trivial, así que puede ser de mayor interés incluir las ecuaciones para obtener el área del casquete cilíndrico de la figura 10.

Imagen41 Imagen42

Conocida el área A, el volumen se obtiene multiplicándola por el espesor t y a su vez, el peso W se obtiene multiplicando por el peso volumétrico del material γm (ecuación 23),

W=A⋅t⋅γm            (23)

La reacción vertical V se obtiene dividiendo el peso entre la longitud de apoyo, la cual se obtiene directamente de la sección cortada. Con esto, se puede obtener la fuerza tangencial T y la fuerza horizontal H para cualquiera de los casos anteriores:

Imagen43

H=T cos ⁡θ            (25)

Este principio se aplica a la sección que se quiera analizar en el templo de San Juan. Una vez determinada el área de la bóveda, incluyendo los lunetos, se propuso un espesor de 0.2m con tezontle del lugar (Miramontes, 2021). Para este material se obtuvo un peso específico de 1.735T/m3, por lo que el peso propio total es 19.732Ton. En la figura 11 se incluyen tres muestras utilizadas para calcular el peso del material y en la tabla 1 se muestran los resultados para el peso seco y el peso húmedo. Además del peso propio, la bóveda recibe carga adicional debida a los materiales de recubrimiento y acabado. La tabla 2 describe los pesos por metro cuadrado a considerar en el análisis de la bóveda.

Para evaluar el apoyo que ofrece el luneto al resto de la bóveda se debe obtener el peso del luneto aislado y calcular su centroide por medio del teorema de Varignon. Para esto se requiere calcular el momento estático dado por:

Imagen44

El resultado de la ecuación (26) se divide entre al área del luneto y se obtiene la distancia . Para obtener , simplemente se toma la diferencia con el radio de la bóveda de cañón. Es importante agregar que el luneto no es el único que ofrece apoyo a la bóveda, ya que también se genera una función de arco en el área Ah (ver figura 7).

Imagen45 Imagen46 Imagen47

De (21) resulta ẊAL=35.113m3, con lo que =3.125m. Esto indica que la resultante o peso del luneto más el peso de los materiales, está a ẋ=0.89m desde su extremo. Si el peso total es,

Imagen48

se genera, en el punto más alto, una fuerza horizontal HL=1.599Ton provocada por el giro del luneto. La figura 11 muestra una maqueta en donde se relacionan las distancias de la resultante WL al centro de la bóveda y al extremo del luneto.

Imagen49

De la figura 8 se obtienen los valores de V, T y H para el arco que se forma al punto más alto del luneto, de modo que con las ecuaciones (22) a (25) se tiene: θ=21.895°, W=1.575Ton, T=2.112Ton y H=1.960Ton. Para el punto más bajo del luneto se tienen θ=75.96°, W=5.465Ton, T=2.816Ton y H=0.683Ton. El promedio de H=1.322Ton es inferior a la HL total del luneto. Obsérvese que la compresión (fuerza tangencial T) aumenta conforme se desciende en el arco de la bóveda mientras que la fuerza de coceo H se reduce. Para arcos completos de medio punto H=0. Si se toma un ancho unitario de la bóveda y el máximo valor de T puede verse que el esfuerzo de compresión es muy bajo, es decir,

Imagen50

σ es inferior a la capacidad a compresión común en mampostería de piedra, que es muy próxima a 20kg/cm2 (2.0MPa) según las Normas Técnicas Complementarias para el diseño y construcción de estructuras de mampostería o según algunos resultados experimentales (NTC, 2020; Mauricio, 2021).

Conclusiones

Se propusieron nuevas ecuaciones para calcular el área de bóvedas con lunetos y a través de este valor, calcular el peso propio y las fuerzas que se generan a lo largo de su geometría. Las ecuaciones se validaron para el caso de bóvedas de arista comparándolas en forma directa e indirecta por medio de una ecuación para lunetos completos, obteniendo una diferencia despreciable y después se aplicaron en un caso real. Por lo anterior, el objetivo principal de este trabajo se considera logrado.

Conocida el área de la bóveda se calcula el peso de la misma y por medio de principios básicos de equilibrio se determinan las fuerzas para un proyecto actual de reconstrucción en un templo en el Estado de México.

De los resultados obtenidos se concluye que los esfuerzos por peso propio son inferiores a la capacidad nominal del material para un caso estático, lo cual concuerda con el concepto y diseño para este tipo de estructuras.

Agradecimientos

A CONACER Constructores S.A. de C.V., CAV Diseño e Ingeniería, ArqCOM Arquitectos, Laura Hurtado Arq., Sergio Román Arq., Restauración Arquitectónica y otros, por la invitación como calculista a más de una decena de proyectos de intervención.

Referencias

Chávez, M. (2021). Caracterización de las mamposterías de los templos conventuales del Estado de Morelos. Unidad de difusión de medios digitales. Instituto de Ingeniería UNAM. Proyecto PAPIIT IA100818.

Goggle. (2021). https://encrypted-tbn0.gstatic.com/images?q=tbn:ANd9GcSzKEf7-aJwEJ9v-prcCyC2Tvxo4UlxjAJ3pw&usqp=CAU

Huerta, S. (2004). Arcos, bóvedas y cúpulas. Geometría y equilibrio en el cálculo tradicional de estructuras de fábrica. Instituto Juan de Herrera. Escuela Técnica Superior de Arquitectura, Madrid. ISBN 84-9728 129-2. 637p.

INAH. (2018). Templo San Pedro y San Pablo, Ecatzingo, Estado de México. - Vista aérea. Instituto Nacional de Antropología e Historia, Estado de México. Video.

INAH. (2020). Restauración de daños ocasionados por el sismo del 19 de septiembre de 2017, en el inmueble conocido como: “Capilla de San Juan” Malinalco, Estado de México. Instituto Nacional de Antropología e Historia. Relación de planos.

Laule U., Geese U. (2003). Románico. Rolf Toman Ed. Feierabend Verlg OHG Mommstrae 43 D-10629. Berlin. ISBN 3-936761-44-2. 256p.

Meli, R. (1998). Ingeniería Estructural de los Edificios Históricos. Fundación ICA A.C. ISBN 968-7508 46-9. 220p.

Miramontes de León, D. (2016). Análisis estático simplificado de paraboloides hiperbólicos y elípticos.- XX Congreso Nacional de Ingeniería Estructural. Mérida, Yucatán, México.

Miramontes de León, D. (2021). Capilla de San Juan. Análisis de propuesta para la bóveda sobre presbiterio. Malinalco, Estado de México. CONACER Constructores, S.A.de C.V. 20p.

NTC (2020). Normas técnicas complementarias para diseño y construcción de estructuras de mampostería. Gaceta Oficial de la Ciudad de México. Vigésima Primera Época, No 454. 134p.

Salinas, A., Costa, D. (2017). Aplicación de las derivadas e integrales en las fachadas de la Arquitectura moderna. Universidad Técnica Particular de Loja. La Universidad Católica de Loja. https://www.slideshare.net/DanielCeliCosta/presentacin-daniel-celi-costa