DESHIDRATACIÓN OSMÓTICA DE Carica papaya var. Maradol: TRANSFERENCIA DE MASA Y ANÁLISIS SENSORIAL

OSMOTIC DEHYDRATION OF Carica papaya var. Maradol: MASS TRANSFER AND SENSORIAL ANALYSIS

Cyntia María D´Aquino de los Santos Colegio de Bachilleres de Chiapas, Tuxtla Gutiérrez, México cyntia.daquino.san@cobach.edu.mx orcid https://orcid.org/0000-0002-2768-5033
María Celina Luján-Hidalgo Tecnológico Nacional de México/Instituto Tecnológico de Tuxtla Gutiérrez, Tuxtla Gutiérrez, México maria.lh@tuxtla.tecnm.mx orcid https://orcid.org/0000-0002-5720-9652
Lucía María Cristina Ventura-Canseco Tecnológico Nacional de México/Instituto Tecnológico de Tuxtla Gutiérrez, Tuxtla Gutiérrez, México lucia.vc@tuxtla.tecnm.mx orcid https://orcid.org/0000-0001-6983-0430
Miguel Abud-Archila Tecnológico Nacional de México/Instituto Tecnológico de Tuxtla Gutiérrez, Tuxtla Gutiérrez, México miguel.aa@tuxtla.tecnm.mx orcid https://orcid.org/0000-0002-4509-7964

DOI: https://doi.org/10.31644/IMASD.31.2022.a08


Fecha de recepción: 31 de agosto 2021
Fecha de aceptación: 20 de agosto 2022
Fecha de publicación: 01 de octubre 2022

Resumen

Carica papayavar. Maradol es un producto fresco importante cultivado en Chiapas, México. Sin embargo, su vida de anaquel es muy corta por lo que podrían ser procesadas para incrementar su vida útil. El objetivo de este trabajo fue evaluar el efecto de la temperatura y concentración de sacarosa de la solución osmótica sobre la pérdida de agua y ganancia de solutos durante la deshidratación osmótica de rebanadas de papaya. Para esto, rebanadas de 5 mm de espesor se deshidrataron por osmosis en soluciones de sacarosa a 40, 50, 60 y 70°Brix mantenidas a 50, 60 y 70°C durante 6 h, guardando una proporción sólidos:solución de 1:5 (peso:volumen). La pérdida de agua y ganancia de solutos fueron ajustados con la ecuación de Azuara para obtener las difusividades efectivas de agua y sacarosa. El análisis sensorial de las muestras se llevó a cabo usando una prueba hedónica de nueve puntos. Los resultados fueron analizados mediante un análisis de varianza y las medias fueron comparadas con la prueba de Tukey (p < 0.05). Las difusividades promedio para el agua variaron entre 4 x 10-10 y 7.2 x 10-10 m2 s-1; mientras que para la sacarosa fueron de 3.62 x 10-10 a 8.4 x 10-10 m2 s-1. El análisis sensorial mostró que la deshidratación osmótica influyó significativamente la aceptación de la papaya. La deshidratación osmótica usando una solución osmótica a 50°C, a 50°Brix durante 6 h permitió obtener papayas con una pérdida de agua de 49%, una ganancia de sacarosa de 14% y un buen nivel de aceptación. Estas condiciones de procesamiento incrementan la vida en anaquel de la papaya y podrían ser utilizadas para propósitos industriales.

Palabras clave: Difusividad efectiva; Pérdida de agua; Ganancia de solutos; Prueba hedónica

-Abstract-

Carica papaya var. Maradol is an important product fresh cultivated in Chiapas, México. However, papaya shelf life is very short, for that, theses could be processed to extend it. Osmotic dehydration could be used to extend shelf life. The aim of this work was to evaluate the effect of temperature and sucrose content in an osmotic solution on water loss and solid gain during osmotic dehydration of papaya slices. For that, papaya slices of 5 mm of thickness were dehydrated by osmosis in sucrose solutions to 40, 50, 60 and  70°Brix maintained to temperatures of 50, 60 and 70°C during 6 hours, keeping a proportion solid:solution of 1:5 (weigh:volume). The water loss and solids gain were adjusted with Azuara´s equation to obtain the water and sucrose average effective diffusivities. The sensory analysis of the samples was carried out using a hedonic test of 9-point scale and the results were analyzed by an analysis of variance and mean using the Tukey test (p < 0.05). Water average effective diffusivity varied between 4 x 10-10 and 7.2 x 10-10 m2 s-1; while for the sucrose diffusivity was 3.62 x 10-10 to 8.4 x 10-10 m2 s-1. The results of the sensory analysis showed that osmotic dehydration had a significant effect on the preference of the papaya. The osmodehydration process to 50°Brix at 50°C during 6 h allowed to obtain papaya slices with water loss of 49%, a solids gain of 14% and a good pleasure level acceptable. These conditions of processing increase the shell life of papaya and could be used for industrial purpose.

Keywords: effective diffusivity; water loss; solid gain; hedonic test.

Introducción

El secado es un método de conservación comúnmente utilizado en la industria de alimentos, cuyo objetivo primordial es aumentar la vida útil de estos por evaporación del agua. En la actualidad, el proceso de deshidratación de frutas y verduras se lleva a cabo principalmente utilizando aire caliente y liofilización. La deshidratación por liofilización conserva en gran medida la calidad de los alimentos, sin embargo, es un proceso que es muy caro con respecto a otros procesos de deshidratación. Por el contrario, el secado o deshidratación con aire caliente puede causar una serie de cambios importantes en los alimentos como por ejemplo, cambios en el color (reacciones enzimáticas y no enzimáticas) y el sabor; así como cambios de textura y calidad nutricional de los mismos, por mencionar algunos. El secado con aire caliente disminuye significativamente la aceptación de la papaya deshidratada en comparación con la fruta fresca (Abud-Archila et al., 2002). Estas características sensoriales son importantes, ya que son las que definen el grado de aceptación del producto por parte del consumidor (Radojˇcin et al., 2022).

En las últimas décadas, el secado osmótico, a presiones atmosféricas o de vacío (Saleena et al., 2021) es una alternativa para el procesamiento de productos perecederos para preservar, en gran medida la calidad del producto final. Este consiste en la eliminación de agua por inmersión del alimento en una solución osmótica como, por ejemplo, una solución con concentraciones elevadas de azúcar o de NaCl. La deshidratación osmótica es un proceso complejo en donde diversos parámetros influyen: el tipo y concentración del agente osmótico, la temperatura y agitación de la solución osmótica, el tiempo de inmersión, la relación fruta:solución osmótica, así como la forma, tamaño y estructura del tejido (Bashir et al., 2020), sin embargo, la temperatura y concentración del agente son primordiales en la transferencia de masa.

La deshidratación osmótica mejora la vida útil de los alimentos y los productos obtenidos presentarán, dependiendo de las condiciones del proceso, características sensoriales atractivas y "similares" al producto original antes de su procesamiento. Durante el procesamiento de alimentos, el color y la textura de los alimentos han sido estudiados principalmente como atributos sensoriales, siendo el color uno de los que más influye en la aceptación de un producto, sin olvidar el sabor. Lopez et al. (2021), puntualiza que el agente osmótico juega un rol muy importante en los atributos sensoriales y físicos del producto. Además, diversos trabajos fueron reportados en donde el secado osmótico previene los cambios indeseables en el color, como en el caso del plátano y manzanas (Krokida et al., 2000a), papaya (Islam et al., 2019), así como en las verduras, como patatas y zanahorias (Krokida et al., 2000b). Si bien, el secado osmótico previene los cambios de color, el tiempo de proceso también es importante. En ese sentido, la pérdida de color de las uvas se minimizaba cuando el tiempo de deshidratación osmótica fue corto, según lo reportaron Nsonzi y Ramaswamy (1998). En cuanto al grado de aceptación global de un producto, Romero-Bello (1995) y Madamba y López (2002) reportaron que el secado osmótico permite obtener productos con un buen grado de aceptación global para el caso de piña y mango, respectivamente. Durante el secado osmótico, se puede identificar la transferencia de masa entre la fruta y la solución osmótica (Saleena et al., 2021). La transferencia de masa (pérdida de agua y ganancia de sólidos) durante la deshidratación osmótica ha sido modelada por varios autores (Azuara et al., 1992; Lazarides et al., 1997; Waliszewski et al., 2002; Islam et al., 2019). Los modelos basados en la teoría de la difusión (ley de Fick), la termodinámica irreversible, la difusión multicomponente y el flujo hidrodinámico han sido discutidos a fondo por Shi y Le Maguer (2002).

Materiales y métodos

Materia Prima

Frutos de papaya Maradol (Carica papaya) del mismo tamaño y sin ningún tratamiento postcosecha fueron proporcionados por la empresa AGROMOD SA de CV del rancho San Juan en Villa de Acala, Chiapas, México. Los frutos, con cerca del 90% de color amarillo-naranja, fueron lavados con agua y jabón y pelados manualmente. Posteriormente, tras la eliminación de las semillas, se obtuvieron rebanadas de 25 x 20 mm con 5 mm de espesor. La humedad inicial de la papaya fresca fue determinada en horno de vacío a 60°C durante 48 h o hasta peso constante.

Deshidratación osmótica

Los trozos de papaya se sumergieron en una solución de sacarosa a temperatura controlada manteniendo una proporción fruta:solución osmótica (p:v) de 1 a 5. Los trozos de papaya se mantuvieron sumergidos en la solución de sacarosa en agitación continua durante 6 h a temperatura controlada con la ayuda de una parrilla de calentamiento con agitación magnética. Posteriormente, se realizó un muestreo cada 30 min para el seguimiento de la cinética de deshidratación. Para lo cual, aproximadamente 10 g de papaya fueron extraídos del sistema cada 30 min y se determinó el peso (0.001 g) con ayuda de una balanza electrónica. Después, las muestras se lavaron con agua destilada para eliminar la sacarosa superficial y el agua residual se retiró con papel absorbente. El contenido de humedad de las muestras se determinó finalmente en horno de vacío a 60°C durante 48 h o hasta que la variación del peso no fuera mayor que 0.001 g.

Durante la cinética de deshidratación osmótica, la pérdida de agua (WL) de la muestra se calculó con la ecuación (1):

Imagen01

donde Po es el peso inicial de la papaya; Pt es el peso (en gramos) de papaya en el tiempo t, Xo es el contenido de humedad inicial (g agua / g inicial, base húmeda) y, Xt el contenido de humedad de la papaya en el tiempo t (g agua / g inicial, base húmeda).

La ganancia de sólidos durante la deshidratación osmótica fue también determinada con ayuda de la ecuación (2):

Imagen02

donde MSo es la fracción inicial de materia seca (g / g inicial) y MSt es la fracción de materia seca en el tiempo t (g / g inicial).

El efecto de la temperatura y concentración de azúcar de la solución osmótica fue evaluado utilizando un diseño experimental factorial con tres repeticiones. Las concentraciones de azúcar estudiadas fueron de 40, 50, 60 y 70°Brix, mientras que la temperatura de la solución fue de 50, 60 y 70°C. Un total de 36 tratamientos fueron realizados.

Modelo matemático

La cinética de deshidratación osmótica (pérdida de agua y ganancia de sólidos) de la papaya fue modelada utilizando un modelo empírico (ecuación 3) según lo reportado por Azuara et al. (1992) y Solgi et al. (2021).

Imagen03

donde WL y SG son la pérdida de agua y ganancia de sólidos durante la deshidratación osmótica, t es el tiempo, WL and SG son la pérdida de agua y ganancia de sólidos del tejido en equilibrio; y, s1 y s2 son los parámetros empíricos del modelo (ecuación 3) a identificar.

Estos parámetros empíricos (s1 y s2) fueron identificados para cada cinética, utilizando el método Simplex modificado (Van Nievuwenhuijzen et al., 2001) a través de la minimización de la función objetivo, denominada error (ecuación 4):

Imagen04

donde n es el número de valores y los subíndices “exp” corresponden a valores experimentales, y el subíndice “sim” corresponde a los valores simulados por el modelo.

Finalmente, la difusividad (Di) del agua y de los sólidos, en función de los parámetros empíricos (s), se calcularon mediante la ecuación 5 (Waliszewski et al., 2002):

Imagen05

Para cada cinética, se identificaron valores s1 y s2, los cuales se utilizaron para calcular la difusividad instantánea (Di) en el tiempo t. Las difusividades efectivas del agua y la sacarosa finalmente se expresaron como un promedio de resultados instantáneos (Azuara et al., 1992).

Evaluación de la aceptación de la papaya osmodeshidratada mediante una prueba hedónica

Después del secado osmótico, todas las muestras se almacenaron en refrigeración (aproximadamente a 5°C). Antes de la prueba sensorial, las muestras se dejaron equilibrar a temperatura ambiente (aproximadamente 30°C) durante 2 h. Posteriormente, una prueba hedónica estructurada de nueve puntos fue utilizada para determinar el nivel de aceptación de las muestras según Wichchukit y O'Mahony (2022). Debido a la cantidad de muestras a evaluar (12 tratamientos), el análisis sensorial se llevó a cabo en tres sesiones en días diferentes para evitar el cansancio del consumidor. Todas las muestras fueron evaluadas por 80 jueces no entrenados. La evaluación sensorial se llevó a cabo en un supermercado de la ciudad de Tuxtla Gutiérrez, Chiapas, México. Los resultados fueron analizados con un análisis de varianza bidireccional (p < 0.05) y las medias se compararon mediante la prueba de Tukey con ayuda del programa Statgraphics plus XV1.donde WL y SG son la pérdida de agua y ganancia de sólidos durante la deshidratación osmótica, t es el tiempo, WL and SG son la pérdida de agua y ganancia de sólidos del tejido en equilibrio; y, s1 y s2 son los parámetros empíricos del modelo (ecuación 3) a identificar.

Resultados y discusión

Pérdida de Agua y Ganancia de Sólidos

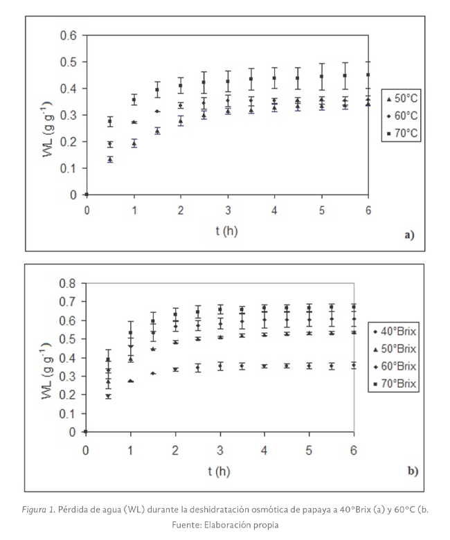
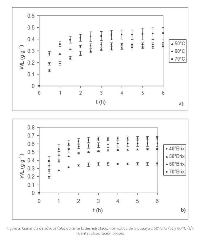
La pérdida de agua y la ganancia de solutos han sido identificados como los principales factores que modifican la transferencia de masa durante la deshidratación osmótica. La pérdida de agua y la ganancia de sólidos de la papaya fueron influenciados por el tiempo de proceso, la temperatura y la concentración de sacarosa (Figuras 1 y 2). La pérdida de agua y la ganancia de solutos aumentan rápidamente en las dos primeras horas, pero después de tres horas, estos valores se mantuvieron casi constantes hasta el término del proceso (6 h), para todas las condiciones de procesamiento. Estos resultados fueron consistentes con la literatura (El-Aouar et al., 2006). Los resultados también muestran que la pérdida de agua (después de 6 h de procesamiento) varió entre 34% y 70%; mientras que la variación de la ganancia de sólidos fue del 10% a 25%, dependiendo de la concentración de sacarosa y la temperatura de la solución (Figura 1).

La pérdida de agua (Figura 1a) y la ganancia de sólidos (Figura 2a) aumentaron con la temperatura de la solución. Esto podría explicarse porque al incrementar la temperatura de la solución, la permeabilidad del tejido de la papaya posiblemente aumentó facilitando la pérdida de agua. Además, la pérdida de agua disminuyó cuando se utilizó una concentración de sacarosa baja (40°Brix, Figura 1b). Lo anterior podría explicarse porque el gradiente de concentración de sacarosa entre la papaya y la solución osmótica fue menor. Sin embargo, la ganancia de sólidos aumentó cuando una concentración de sacarosa baja fue utilizada (40°Brix). La fuerza motriz para el transporte de humedad de los tejidos a la solución es proporcionada por la mayor presión osmótica de la solución concentrada (Radojˇcin et al., 2022).

Imagen06

Por otro lado, cuando la concentración de sacarosa en la solución es mayor, la tasa de impregnación probablemente aumenta más rápido en los primeros minutos del proceso provocando la acumulación de sacarosa en la parte exterior de la muestra. En este caso, la acumulación de sacarosa en la superficie de la papaya formó, probablemente, una película semipermeable en la papaya evitando la salida del agua y la entrada de sacarosa. Resultados similares a los nuestros fueron encontrados por Saputra (2001) y Waliszewski et al. (2002) para deshidratación osmótica de piña. Pero resultados diferentes para la papaya fueron reportados por Rodrigues et al. (2003) quienes publicaron que la transferencia de masa durante la deshidratación osmótica de papaya incrementa con la temperatura y concentración de la solución osmótica. Las diferencias se podrían atribuir a los aditivos (ácido cítrico o láctico y al lactato del sodio o al cloruro de calcio) utilizados por estos autores en la solución osmótica, compuestos que no fueron utilizados en este trabajo. Además, las diferencias encontradas también podrían atribuirse a la variedad del fruto, así como a las condiciones del suelo y ambientales en donde las papayas fueron cultivadas.

Por otro lado, la pérdida de agua (WL) y ganancia de solutos (SG) reportados en este trabajo son más altas que los publicados por Jain et al. (2011), quienes encontraron para papaya que la WL fue de 28% y la SG fue del 4% cuando la deshidratación se efectuó a 60oBrix, 37°C y 4.25 h de deshidratación osmótica. Las diferencias pueden deberse a que estos autores utilizaron 37°C en el proceso de deshidratación, lo cual resultó en la disminución de la transferencia de masa. Además, estos autores utilizaron una relación volumen de jarabe:peso de fruta de 4:1 (mL:g) y el tiempo de deshidratación osmótica fue de 4.25 h.

Durante la deshidratación osmótica, la sacarosa se impregna en la papaya y, al mismo tiempo, la papaya pierde agua. Entonces, cuando una proporción jarabe:fruta (v:p) utilizada es baja, por ejemplo 4:1, es decir, 4 mL de solución por cada gramo de fruta, la solución osmótica es diluida por la pérdida del agua de la papaya en las primeras horas del proceso provocando un gradiente de sacarosa inferior entre la solución y la papaya. Esto provoca la disminución de la tasa de impregnación y de deshidratación de la fruta.

Imagen07

Modelado de la Pérdida de Agua y Ganancia de Sólidos

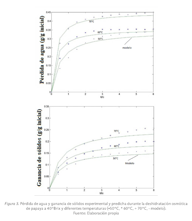
Los parámetros s1 y s2 del modelo de Azuara, identificados para cada cinética, se muestran en la Tabla 1. Los resultados variaron entre 1.91 y 5.05 para la pérdida de agua con un error máximo de 3.7% y; entre 1.5 y 5.86 para la ganancia de sólidos con un error máximo del 1.7%. La calidad del ajuste se puede observar en la Tabla 1 representado como el error de predicción (σ), así como también en las gráficas de la Figura 3, donde el modelo (ecuación 3) simuló muy bien la cinética de deshidratación osmótica en términos de pérdida de agua y ganancia de sólidos. Las gráficas muestran que el incremento de temperatura provoca un aumento en la velocidad de pérdida de agua y ganancia de sólidos, sobre todo durante las primeras 2 h del proceso. Posteriormente, las curvas tienden a un comportamiento quasi estable, lo cual es debido probablemente a que, durante las primeras horas del proceso, la transferencia de masa se incrementa. Después, la velocidad de movimiento de solutos se reduce, hasta un grado tal en el que los sólidos acumulados en la superficie ya no permiten mayor pérdida de agua.  

Imagen08 Imagen09

Los valores de difusividad efectiva del agua y de los sólidos (sacarosa) se obtuvieron mediante la ecuación 5. Los valores de difusividad aumentaron con la concentración de sacarosa, sin embargo, estos disminuyeron a altas concentraciones (60 y 70°Brix). Esto podría deberse a que se formó una capa de sacarosa en la superficie de la papaya, impidiendo la difusión del agua y azúcar como se explicó anteriormente. Las difusividades efectivas medias calculadas con la ecuación 5 fueron entre 4 x 10-10 y 7.2 x 10-10 m2 s-1 para la pérdida de agua y entre 3.62 x 10-10 y 8.4 x 10-10 m2 s-1 para ganancia de sólidos. Estos valores son semejantes a los reportados por Solgi <i>et al</i>. (2021) para la deshidratación osmótica de Ziziphus jujuba, con difusividades efectivas de entre 2.7 y 5.96 x 10-10 m2 s-1. Sin embargo, estos valores son 10 veces menores que los reportados por Islam <i>et al</i>. (2019), quienes reportaron valores de difusividad efectiva promedio para la pérdida de agua y la ganancia de solutos de 2.25 × 10−9 a 4.31 × 10−9 m2 s-1 y de 3.01 × 10−9 a 5.61 × 10−9 ms-1, respectivamente durante la deshidratación osmótica de papaya. Las diferencias se podían atribuir a que ellos utilizaron una relación fruta:solución de 1:4 (p/v) y la duración del proceso osmótico fue de 240 min, además de que ellos utilizaron otra variedad de papaya. Mendoza y Schmalko (2002) encontraron una difusividad efectiva del agua aproximadamente 2 veces mayor (13 x 10-10 m2 s-1) que los encontrados en esta investigación para rebanadas de papaya con 10 mm de espesor a diferencia de los 5 mm de espesor utilizados en este trabajo. Para el caso de la difusividad de la sacarosa, Mendoza y Schmalko (2002), reportaron una difusividad de 34.7 x 10-10 m2 s-1 para papaya. La diferencia podría atribuirse a que estos autores utilizaron rebanadas de 10 mm de espesor y la transferencia de masa fue en una sola cara de la rebanada, así como también esos autores utilizaron otra variedad de papaya.

Evaluación Sensorial de la Papaya Osmodeshidratada

La escala hedónica es una prueba comúnmente utilizada para la determinación del grado de aceptación de un producto como lo reportó Guadalupe-Tapia (2022) y López-Quevedo (2022).  El análisis de varianza de los resultados de la prueba hedónica de la papaya osmodeshidratada se muestra en la Tabla 2. En esta Tabla 2 podemos observar que el valor de distribución F calculado es mayor al valor F de tablas, lo que indica que hay diferencia estadística significativa (p < 0.05) entre los tratamientos y los jueces que realizaron la evaluación. Estos resultados son diferentes a los reportados para el análisis sensorial de piña osmodeshidratada (Romero-Bello, 1995) y mango osmodeshidratado (Madamba y López, 2002), cuyos autores encontraron que no había diferencia estadística significativa entre sus tratamientos. Esta diferencia se atribuye a que Romero-Bello (1995) usó una prueba hedónica de 5 puntos y nosotros una prueba de 9 puntos; mientras que Madamba y López (2002) llevaron a cabo el análisis de aceptación con únicamente 10 jueces.

Imagen10

La prueba de Tukey, representada en la Tabla 3, muestra que los productos con mayor aceptación fueron la muestra F (50°Brix, 70°C) y B (50°Brix, 50°C) y de menor aceptación fue la muestra H (60°Brix, 60°C).

Imagen11

Para las muestras F y B se obtuvo una calificación superior a 7, es decir, los jueces lo calificaron como "me gusta moderadamente"; y para la muestra H "me gusta ligeramente". Sin embargo, en la misma Tabla 3 se observa que la diferencia entre los tratamientos es solo de un punto de la escala hedónica, lo que indica que todas las muestras tuvieron una buena aceptación y que, probablemente, el juez consumidor tiene dificultades para identificar si existen diferencias entre los tratamientos. Esto sugiere que el producto tiene un grado de aceptación muy bueno. La prueba de Tukey para jueces no se llevó a cabo porque los jueces no estaban entrenados. De los resultados anteriores, se recomienda secar la papaya de 5 mm de espesor durante 6 h a 50°Brix y 50°C, lo que provocará una pérdida de agua del 49% y una ganancia de sólidos del 14%, obteniendo un producto con un nivel de aceptación razonable con vistas a la comercialización de un producto de papaya osmodeshidratada con una vida en anaquel no menor a 3 meses a temperatura ambiente. Además, este tratamiento es el que permitirá el menor consumo de energía ya que se requerirá de menor calentamiento para mantener el proceso a 50°C.

Conclusiones

Los resultados demuestran que la pérdida de agua y la ganancia de sólidos de las rebanadas de papaya durante la deshidratación osmótica fueron afectadas por el tiempo del proceso, la concentración de sacarosa y la temperatura de la solución. El modelo matemático simuló la pérdida de agua con un error promedio a 3.7% y 1.7% para la ganancia de sólidos. Este modelo podría utilizarse para predecir el proceso osmótico a otras condiciones. La difusividad efectiva promedio del agua varió entre1.4 x 10-10 y 2.7 x 10-10 m2 s-1; mientras que la difusividad de la sacarosa cambió de 1.25 x 10-10 a 2.4 x 10-10 m2 s-1. Los resultados mostraron que la temperatura y la concentración de sacarosa de la solución durante la deshidratación osmótica de papaya tuvieron un efecto en la aceptación sensorial de la papaya Maradol. El mejor tratamiento que aumentó la pérdida de agua y disminuyó la ganancia de sólidos fue el 50°Brix con 50°C durante 6 h de proceso.

Referencias

Abud-Archila, M., Coutiño-Zapién, F.C., Ventura-Canseco, C., Ruiz-Cabrera, M.A. y Grajales-Lagunes, A. (2002). Efecto del secado convectivo sobre la calidad sensorial de la papaya Maradol (Carica papaya). In Actas del 2º. Congreso Español de Ingeniería de Alimentos (cd-rom). Lleida: Universitat de Lleida. ISBN 84-8409-162-7.

Azuara, E., Cortes, R., Garcia, H.S. y Beristain, C.I. (1992). Kinetic model for osmotic dehydration and its relationship with Fick´s second Law. International Journal of Food Science and Technology, 27 (3), 409-418.

Bashir, N., Sood, M. y Bandral, J.D. (2020). Food preservation by osmotic dehydration-A Review. Chemical Science Review and Letters,  9(34), 337-341.

El-Aouar, A., Moreira Azoubel, P., Barbosa, J. y Xidieh-Murr, F. (2006). Influence of the osmotic agent on the osmotic dehydration of papaya (Carica papaya L.), Journal of Food Engineering, 75 (2), 267-274.

Guadalupe-Tapia, M. (2022). Influencia de la deshidratación osmótica de las habas frescas (Vicia faba L.) sobre el tiempo de secado. Universidad Agraria del Ecuador. Tesis.

Islam, M.Z., Das, S., Monalisa, K. y Sayem, A. (2019). Influence of osmotic dehydration on mass transfer kinetics and quality retention of ripe Papaya (Carica papaya L) during drying. AgriEngineering, 1 (2), 220-234.

Jain, S., Verma, R., Murdia, L., Jain H. y Sharma G. (2011). Optimization of process parameters for osmotic dehydration of papaya cubes. Journal of Food Science and Technology, 48, 211–217.

Krokida, M., Karathanos, V. y Maroulis, Z. (2000a). Effect of osmotic dehydration on color and sorption characteristics of apple and banana. Drying Tecnology, 18 (4&5), 937-950.

Krokida, M., Kiranoudis, C., Maroulis, Z. y Marinos-Kouris, D. (2000b). Effect of pretreatment on color of dehydrated products. Drying Technology, 18 (6), 1239-1250.

Lazarides, H., Gekas, V. y Mavroudis, N. (1997). Apparent mass diffusivities in fruit and vegetable tissues undergoing osmotic processing. Journal of Food Engineering, 31, 315-324.

Lopez, M., Morais, R. y Morais, A. (2020). Flavonoid enrichment of fresh-Cut apple through osmotic dehydration-assisted impregnation. British Food Journal, 123 (2), 820–832.

López-Quevedo, C. (2022). Efecto de la osmodeshidratación mediante lactosuero aplicado al banano (Musa x paradisiaca). Universidad Agraria del Ecuador. Tesis.

Madamba, P. y Lopez, R. (2002). Optimization of the osmotic dehydration of mango (Magnifera indica L.) slices. Drying Technology, 20 (6), 1227-1242.

Mendoza, R. y Schmalko, M. (2002). Diffusion coefficients of water and sucrose in osmotic dehydration of papaya. International Journal of Food Properties, 5 (3), 537-546.

Nsonzi, F. y Ramaswamy, H. (1998). Quality evaluation of osmo-convective dried blueberries. Drying Technology, 16 (3-5), 705-723.

Radojˇcin, M., Ivan Pavkov, I., Kovaˇcevi´c, D., Predrag Putnik, P., Wiktor, A., Stamenkovi´c, Z., Kešelj, K. y Gere, A. (2021). Effect of selected drying methods and emerging drying intensification technologies on the quality of dried fruit: A review. Processes, 9, 132. https://doi.org/10.3390/pr9010132

Ramaswamy, H. y Nsonzi, F. (1998). Convective-air drying kinetics of osmotically pre-treated blueberries. Drying Technology, 16 (3-5), 743-759.

Rodrigues, A., Cunha, R. y Hubinger, M. (2003). Rheological properties and colour evaluation of papaya during osmotic dehydration processing, Journal of Food Engineering, 59 (2–3), 129-135.

Romero-Bello, M. (1995). Efecto del proceso de deshidratación osmótica en el cambio de color de hojuelas de piña. Tesis Master, Instituto Tecnológico de Veracruz, México, 154 p.

Saputra, D. (2001). Osmotic dehydration of pineapple. Drying Technology, 19 (2), 415-425.

Saleena, P., Jayashree, E. y Anees, K. (2021). Recent developments in osmotic dehydration of fruits and vegetables: A review. The Pharma Innovation Journal, SP-11 (2), 40-50.

Shi, J. y Le Maguer, M. (2002). Osmotic dehydration of foods: Mass transfer and modeling aspects. Food Reviews International, 18 (4), 305-335.

Solgi, V., Khavarpour, M. y Ariaii, P. (2021). Kinetic modeling of mass transfer during osmotic dehydration of Ziziphus jujube. Journal of Food Biosciences and Technology, 11 (2), 45-58. https://dorl.net/dor/20.1001.1.22287086.2021.11.2.5.9

Van Nievuwenhuijzen, N., Zareifard, M. y Ramaswamy, H. (2001). Osmotic drying kinetics of cylindrical apple slices of different sizes. Drying Technology, 19 (3&4), 525-545.

Waliszewski, K., Delgado, J. y García, M. (2002). Equilibrium concentration and water and sucrose diffusivity in osmotic dehydration of pineapple slabs. Drying Technology, 20 (2), 527-538.

Wichchukit, S. y O'Mahony, M. (2022). The 9-point hedonic and unstructured line hedonic scales: An alternative analysis with more relevant effect sizes for preference. Food Quality and Preference, 99, 104575. https://doi.org/10.1016/j.foodqual.2022.104575.