Evaluación de las propiedades físicas y mecánicas del ladrillo de barro artesanal fabricado en la zona metropolitana de Tuxtla Gutiérrez

Evaluation of the physical and mechanical properties of artisanal clay brick manifactured in the metropolitan área of Tuxtla Gutiérrez

J. Alejandro Ruiz Sibaja asibaja@unach.mx Facultad de Ingeniería, Universidad Autónoma de Chiapas, Campus I, Tuxtla Gutiérrez Chiapas, México orcid https://orcid.org/0000-0002-7698-0522
Jesús Alejandro Cabrera Madrid jesus.madrid@unach.mx Facultad de Ingeniería, Universidad Autónoma de Chiapas, Campus I, Tuxtla Gutiérrez Chiapas, México orcid https://orcid.org/0000-0002-3991-880X
Ricardo G. Suárez Gómez rsuarez@unach.mx Facultad de Ingeniería, Universidad Autónoma de Chiapas, Campus I, Tuxtla Gutiérrez Chiapas, México orcid https://orcid.org/0000-0001-8410-0401



DOI: https://doi.org/10.31644/IMASD.41.2025.a04

Fecha de recepción: 09 de mayo de 2024
Fecha de aceptación: 12 de mayo de 2024
Fecha de publicación: 06 de junio de 2025

Resumen

El objetivo de este trabajo fue evaluar las características geométricas y de resistencia de los ladrillos de barro artesanal fabricados en la región metropolitana de Tuxtla Gutiérrez, Chiapas, conforme a las normativas vigentes. Se seleccionaron 40 ladrillos de seis proveedores distintos para analizar la variación geométrica, el porcentaje de absorción de agua, el peso volumétrico y la resistencia a la compresión. Las pruebas se realizaron siguiendo los estándares de las normativas NTCM-20 y NMX–C–ONNCCE. Los resultados muestran que, si bien las dimensiones de largo y ancho de los ladrillos cumplen con los valores mínimos recomendados, pero no la altura. El 50% de las muestras analizadas superaron el límite máximo de absorción de agua del 23%. Todas las muestras excedieron el peso volumétrico mínimo de 1300 kg/m3. Las pruebas de compresión mostraron una resistencia promedio de 23.41 kg/cm2, lo que representa solo el 33.44% de la resistencia mínima de 70 kg/cm2 establecida por las normativas. Estos resultados indican la necesidad de regular la fabricación de ladrillos de barro recocido en la región, para asegurar su conformidad con los estándares normativos y poder diseñar muros de mampostería acordes con los materiales locales.

Palabras clave: ladrillo de barro; absorción de agua; resistencia a la compresión; mampostería

-Abstract-

The objective of this work was to evaluate the geometric characteristics and strength of handmade clay bricks manufactured in the metropolitan region of Tuxtla Gutiérrez, Chiapas, in accordance with current standards. Forty bricks from six different suppliers were selected to analyze geometric variation, water absorption percentage, volumetric weight, and compression strength. The tests were conducted following the standards of the NTCM-20 and NMX – C – ONNCCE regulations. The results show that while the length and width dimensions of the bricks meet the recommended minimum values, the height does not. The 50% of the analyzed samples exceeded the maximum water absorption limit of 23%. All samples surpassed the minimum volumetric weight of 1300 kg/m3. Compression tests indicated an average strength of 23.41 kg/cm2, representing only 33.44% of the minimum compression strength of 70 kg/cm2 set by the standards. These results highlight the need to regulate the production of fired clay bricks in the region, to ensure compliance with normative standards and to design masonry walls that are compatible with local materials.

Keywords: mud brick; water absorption; compression strength; masonry

Introducción

El Ladrillo de Barro Recocido (LBR) es un material de mampostería básico en la construcción de viviendas en México, ha sido empleado desde la época de la colonia, aunque su uso masivo para construcción en viviendas populares surgió a principios del Siglo XX.  Actualmente, el LBR en el entorno nacional es uno de los más empleados en la construcción de muros de mampostería; en Tuxtla Gutiérrez es el segundo material más utilizado para la construcción de muros en viviendas de interés social (Argüello Méndez et al, 2022).

Sin embargo, las piezas de LBR fabricadas en la zona metropolitana de Tuxtla Gutiérrez se han empleado sin conocer fehacientemente sus propiedades físicas y mecánicas, ya que no están estandarizadas o evaluadas en un laboratorio, y las cuales son de interés para el cálculo de estructuras de mampostería. Conocer las características reales de este material, propicia diseñar adecuadamente las dimensiones de los muros de mampostería y mejorar su desempeño. Garantizando una edificación con mejor respuesta estructural ante distintos tipos de solicitaciones, especialmente en regiones de gran actividad sísmica.

Los procedimientos de fabricación del LBR en la región son principalmente artesanales, cocidos en hornos de leña, y los industrializados, cocidos en hornos industriales. Las piezas tienen una forma prismática con diferentes proporciones en sus dimensiones. Comúnmente, las dimensiones de las piezas más utilizadas son de 5 cm de alto, 10 cm de ancho y 19 cm de largo, sin contar la junta de albañilería.

El uso del LBR supone ciertas ventajas: es un material que puede emplearse en muros de carga y muros divisorios, adaptándose a muchos estilos arquitectónicos. Puede contribuir al ahorro energético en las edificaciones debido a las propiedades de aislamiento térmico que puede poseer. Según su calidad y la protección mínima proporcionada durante su vida útil, puede alcanzar los 100 años aproximadamente. Las piezas de ladrillos son más económicas (menos de $10.00/pieza y requiere de poco mantenimiento) que otros materiales de mampostería similar. Se puede considerar un material “sostenible” y “amigable con el ambiente y los seres vivos”, ya que no contiene contaminantes y alérgenos. Estas características hacen que el LBR sea considerado un material atemporal, siendo que en México y en Chiapas su uso representa una identidad y parte de la cultura local.

El LBR se pudiera considerar un material de origen natural y de fabricación amigable con el medio ambiente. Su fabricación requiere de tratamientos industriales mínimos, reduciendo y siendo más eficientes los procesos intermedios contaminantes, se podría reducir la huella ecológica y del carbono. En este sentido, el LBR se convierte en una opción adecuada para la construcción de la vivienda de interés social.

La mayoría de los estudios experimentales sobre mampostería a nivel mundial se han centrado en el estudio de las propiedades físicas y mecánicas de este material. En México, el profesor Meli (1975) investigó el comportamiento sísmico de muros de mampostería, analizando la variabilidad de los materiales componentes, la determinación de propiedades básicas de la mampostería en ensayos de especímenes pequeños, el estudio del comportamiento ante cargas laterales en una dirección y ante cargas alternadas.  Sus resultados contribuyeron significativamente al desarrollo de las recomendaciones para el diseño de estructuras de mampostería en México. Desde entonces, en distintas partes del mundo, se han realizado ensayos controlados para determinar las propiedades físicas y mecánicas de este material.

Piscal Arévalo et al. (2012), evaluaron las propiedades mecánicas de los ladrillos macizos de cerámica fabricados a mano en el municipio de Ocaña (Colombia). En primera instancia, realizaron la caracterizaron física de la arcilla empleada como materia prima, enseguida seleccionaros diferentes productores de ladrillos y llevaron a cabo pruebas no destructivas y destructivas para el control de calidad. Para tal fin, utilizaron la Norma Técnica Colombiana NTC-4017, “Métodos para muestreo y ensayos de unidades de mampostería y otros productos de arcilla”. Lograron determinar el módulo de elasticidad y la resistencia a la compresión del material ensayado.

En El Salvador, Berríos Alvarado y Gómez Bonilla (2015) estudiaron la resistencia a la compresión de pilas de ladrillos de barro utilizando dos tipos de mortero. Además, evaluaron las características de la relación esfuerzo-deformación en estas pilas de mampostería. Concluyeron que el uso de distintos morteros no produce cambios significativos en la calidad de la mampostería. También determinaron que los valores del módulo de elasticidad de este material son inferiores a los indicados por la normativa salvadoreña “Norma técnica de diseño y construcción estructural de mampostería”.

Soto y Sánchez (2017) investigaron las principales propiedades físicas y mecánicas del ladrillo de barro artesanal producido en la zona noroccidental de Honduras. Analizaron las dimensiones geométricas, el porcentaje de absorción y la resistencia a la compresión de piezas individuales. Compararon sus resultados con los estándares de la norma ASTM C 62, concluyendo que el material cumple con la resistencia mínima requerida. Además, según la capacidad de absorción de humedad de los ladrillos ensayados, pueden ser adecuados para su uso en ambientes de alta humedad. La evaluación de las dimensiones geométricas reveló que el material tiene una geometría uniforme.

En 2016, Aguilera Morán, llevó a cabo un estudio extenso sobre la caracterización de las propiedades físicas y mecánicas del ladrillo de barro recocido de la ciudad de Aguascalientes y su área conurbada. Reunió material de 38 ladrilleras diferentes con lotes de 7 piezas. Realizó ensayos con 71.5 % del total de piezas y dejó 28.5 % como reserva. Menciona que la caracterización geométrica y los ensayos de resistencia a la compresión en piezas de ladrillos, fueron realizados según lo indicado en las normas del Organismo Nacional de Normalización y Certificación de la Construcción y Edificación (ONNCCE). Los análisis de sus resultados muestran que 61 % de los lotes ensayados, no cumple con los criterios mínimos de resistencia a compresión indicados en la norma NMX-C-404-ONNCCE-2012. Además, ninguna de las 190 piezas estudiadas cumple con las dimensiones geométricas establecidas por las normas NMX-C-038-ONNCCE-2013 y NMX-C-404-ONNCCE-2012.

Por su parte, Arbildo Huamani y Rojas Paco (2017), estudiaron la resistencia a la compresión axial y diagonal en especímenes de albañilería de ladrillos de barro, fabricados en Tacna, Perú. En su trabajo consideraron un espesor de junta de mortero de 1 cm y una dosificación cemento-arena de 1:4. Efectuaron pruebas controladas de compresión en 5 pilas y en 5 muretes, según el protocolo indicado en la normativa NTE 070 de Perú. Concluyeron que el material analizado tiene una resistencia y durabilidad media, apto para construcciones de mampostería de uso general. Sin embargo, el tipo de ladrillo estudiado no debe usarse para edificaciones en condiciones de servicio particularmente rigurosas. Además, sugieren llevar a cabo un estricto control de calidad e inspección de este material durante el proceso de construcción de la edificación.

Otros estudios se han enfocado en determinar la resistencia a cortante de la mampostería de ladrillo de barro. Entre estos estudios se destaca el realizado por Valdivia Espinoza (2020), quien determinó la resistencia a la compresión y al corte en la mampostería de ladrillos pandereta de barro de fabricación industrial en Huánuco, Perú. Las pruebas fueron realizadas de acuerdo con los protocolos de las normativas N.T.P 399.605 y E.070 de Perú. A partir de sus resultados, concluyó que no es recomendable usar este ladrillo en la construcción de muros portantes, porque sus valores de resistencia a compresión son menores que los indicados por las normativas, tendiendo a fallar por cortante los muros ante la acción de tensión diagonal.

En Chiapas, a pesar del amplio y atractivo uso de este material, se carece de estudios suficientes sobre la caracterización geométrica y mecánica del LBR fabricado localmente. Esto impide realizar cálculos sensatos para el diseño de estructuras con este tipo de mampostería, y obtener niveles adecuados de seguridad estructural. Por otro lado, tampoco se dispone de una normativa regional de construcción para diseño de estructuras con este sistema constructivo. El reglamento vigente de construcción para Tuxtla Gutiérrez no incluye un apartado en el que se aborde el diseño de edificaciones de mampostería, o se recomiende la calidad de los elementos de mampuesto usados.

Debido a la ausencia de una normativa específica en Chiapas, en la región metropolitana de Tuxtla Gutiérrez no existe una regulación de la calidad del LBR producido por los fabricantes. Como consecuencia, no se tiene uniformidad en la fabricación de este material, siendo las piezas de calidad dudosa y deficiente. Lo cual pone en riesgo las estructuras y sus ocupantes en casos de solicitaciones sísmicas.

MATERIALES Y PROGRAMA EXPERIMENTAL

Se eligieron 6 proveedores de LBR y de cada uno se adquirió un lote de 40 piezas, utilizando un total de 30 piezas para las pruebas como: caracterización geométrica, absorción inicial de agua y resistencia a la compresión simple. El excedente se dejó como repuesto para situaciones no previstas durante la manipulación de las pruebas. El número de piezas empleadas de cada lote para las pruebas controladas fue la siguiente:

Caracterización geométrica: 10 piezas

Absorción inicial de agua: 10 piezas

Resistencia a compresión simple: 10 piezas

Para realizar estas pruebas se atendieron las recomendaciones de las NTCM-23 (Normas Técnicas Complementarias para el Diseño y Construcción de Estructuras de Mampostería) y de las normas del Organismo Nacional de Normalización y Certificación de la Construcción y Edificación (ONNCCE) (NMX-C-404-2012-ONNCCE).

Además, se examinó la resistencia a la compresión del mortero de pega, para la cual se fabricaron 9 probetas cúbicas y se ensayaron de acuerdo con las especificaciones de la norma NMX-C-486-2014-ONNCCE (Mortero de uso estructural-especificaciones y métodos de ensayo).

Las pruebas de las piezas de ladrillo y del mortero de pega fueron realizadas en el Laboratorio de Mecánica de Suelos, Resistencia de Materiales y Tecnología del Concreto, de la Facultad de Ingeniería de la Universidad Autónoma de Chiapas (UNACH).

Procedimiento para la prueba de resistencia a la compresión

La mezcla de mortero se fabricó con cemento (tipo CPC) cuyas características se ciñen a las recomendaciones de las NMX-C-021-ONNCCE-2015 y NMX-C-414-ONNCCE-2017, se utilizó también arena local de río. La proporción volumétrica de la mezcla fue 1:0:3 (cemento-cal-arena), comúnmente utilizada en la práctica local y clasificada como mortero tipo I de acuerdo con las NTCM-23.

Las pruebas controladas se llevaron a cabo conforme a la NMX-C-061-ONNCCE-2010. Se utilizaron moldes de acero con dimensiones de 5×5×5 cm³ para preparar las probetas de mortero (Figura 1). El llenando de los moldes se realizó en dos capas de mortero y compactando con 32 golpes. Se dejó fraguando el mortero durante 24 horas, posteriormente se desmoldaron y se sumergieron en agua durante 27 días, realizándose las pruebas de resistencia a la compresión a los 28 días de edad.

Imagen01

Los ensayos de compresión fueron realizados mediante una prensa universal, como se muestra en la Figura 2. La carga se aplicó sobre la cara de la probeta que estuvo en contacto con las paredes verticales del molde y se mantuvo hasta el punto de ruptura.

Imagen02

Procedimiento para la caracterización geométrica del LBR

Para realizar la caracterización geométrica, se procedió de acuerdo con el protocolo de la NMX-C-038-ONNCCE-2013 y se escogieron 10 piezas de LBR por cada proveedor. Se midieron las dimensiones (largo, alto y ancho) de cada pieza de ladrillo con un Vernier (pie de rey) y una regla graduada (Figura 3). Se efectuaron 3 mediciones en cada lado, y se calculó el promedio y la desviación estándar de las dimensiones registradas para cada lote.

Imagen03

Procedimiento para la absorción de agua durante 24 horas

Para poder determinar la absorción de agua después de 24 horas, se procedió según lo descrito en la NMX-C-037-ONNCCE-2013. Se eligieron 3 muestras de ladrillo por cada proveedor, y se marcaron con un número y letra del alfabeto para su debida identificación (Figura 4).

Imagen04

Las muestras fueron secadas al horno durante 24 h con temperatura de 100 ± 10 °C (Figura 5). Posteriormente, se obtuvo el valor de la masa seca (Ms) de cada muestra. Estas mismas fueron sumergidas en agua con la temperatura entre 17°C y 23ºC, durante un período de 24 horas. Al cabo de este tiempo, se sacaron del recipiente y se eliminó con una franela el excedente de agua que había en la superficie de las muestras, obteniendo de esta forma el valor de la masa saturada y superficie seca (Msss).

Imagen05

Con los datos registrados de Ms y Msss, se calculó la absorción volumétrica (A) en porcentaje después de 24 horas con la ecuación 2:

6

Procedimiento para el peso volumétrico

De cada proveedor se seleccionaron 10 piezas de LBR, cuyas dimensiones fueron medidas y se registró la masa seca de cada ladrillo. El peso volumétrico se calculó dividiendo la masa del ladrillo entre su volumen. Estos valores fueron comparados con los especificados en las NTCM-23, que establece un peso volumétrico estándar de 1300 kg/m³ para tabiques macizos de arcilla artesanal.

Prueba de resistencia a la compresión en piezas de ladrillos

Las pruebas de resistencia a la compresión se realizaron conforme a la norma NMX-C-036-ONNCCE-2013. En las 10 piezas de ladrillo elegidas para esta prueba, se aplicó un proceso de cabeceo en ambas caras con una pasta a base de yeso, como se muestra en la Figura 6. Este procedimiento tiene como propósito lograr una superficie de contacto uniforme entre el ladrillo y la prensa universal, lo que permite mejorar la distribución de la carga sobre la pieza de ladrillo.

La carga se aplicó de manera gradual y controlada sobre la superficie mayor de las piezas de ladrillo. La carga última registrada fue la que se alcanzó en el momento de la ruptura del material.

7

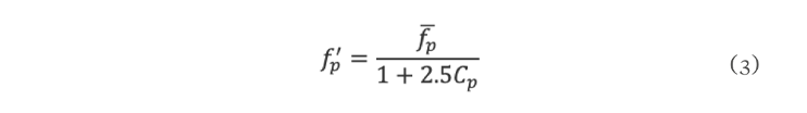
En las NTCM-23 se indica que la resistencia de diseño a compresión, de piezas individuales, deberá calcularse con la ecuación 3:

8

Donde, ec1 es la media de la resistencia a compresión de las piezas, referida al área bruta, y Cp es el coeficiente de variación de la resistencia a compresión de las piezas, que para el caso de piezas de producción artesanal no deberá ser menor que 0.35.

RESULTADOS Y DISCUSIÓN

En esta sección se presentan los resultados obtenidos de las diferentes pruebas realizadas a las piezas de LBR, fabricadas en la región metropolitana de Tuxtla Gutiérrez, Chiapas. Las pruebas incluyeron evaluaciones de las dimensiones geométricas, el porcentaje de absorción de agua, el peso volumétrico y la resistencia a la compresión de las piezas. Cada prueba controlada se realizó con el objetivo de poder determinar cómo estas propiedades afectan la calidad y la aplicabilidad del ladrillo en la construcción de muros de mampostería.

Resistencia a la compresión en mortero de pega

En la Tabla 1 se muestran los resultados de la carga final registrada y los valores de la resistencia a la compresión a la edad de 28 días de cada probeta de mortero de pega.

9

El valor medio de la carga final aplicada (Tabla 1) fue de 6177.78 kg, con desviación típica (σ) de 465.78 kg. La resistencia a la compresión media determinada fue de 247.11 kg/cm², con desviación típica (σ) de 18.63 kg/cm².

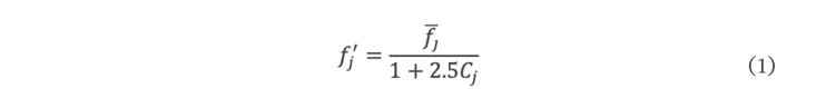
De acuerdo con las NTCM-23 la resistencia de diseño a compresión ec2 de las probetas de mortero, se calculó con la ecuación 1.

10

Donde Cj es el coeficiente de variación de la resistencia a compresión del mortero, que en ningún caso se tomará menor que 0.20, y ec3 es la resistencia media a compresión de cada probeta de mortero.

En la Tabla 2 se muestran los resultados obtenidos para ec4, empleando los valores de la Tabla 1. De acuerdo con los datos de la Tabla 2, el valor medio de la resistencia de diseño a compresión es de 164.74 kg/cm² y su desviación típica de 12.42 kg/cm².

A partir de estos resultados, se pudo observar que el mortero presenta un buen desempeño ante las pruebas de compresión. Según las NTCM-23, la resistencia mínima de diseño a compresión,  ec4, para el mortero de pega debe ser de 125 kg/cm². De acuerdo con los resultados de la Tabla 2, se puede observar que todas las probetas cumplieron de forma satisfactoria con la normativa. Por lo que el material se puede considerar de calidad apropiada, y que la dosificación de cemento:cal:arena de 1:0:3 empleada comúnmente en la práctica constructiva local es adecuada.

11

Variación geométrica de los LBR

Los valores promedios de las dimensiones de los LBR: largo, ancho y alto de cada proveedor, se muestran en la Tabla 3, así como los valores respectivos de la desviación estándar (σ).

12

La norma NMX-C-404-ONNCCE-2012 establece que las dimensiones de fabricación de los tabiques de arcilla deben cumplir con los siguientes requisitos mínimos: 190 mm de largo, 100 mm de ancho y 50 mm de alto, y que las dimensiones reales no deben diferir en más de ± 3 mm con respecto a las otras piezas fabricadas.

La comparación de los datos de la Tabla 3 con los requisitos mínimos de la norma NMX-C-404 indican que, en general, las dimensiones de longitud y ancho de las piezas si cumplen; sin embargo, no alcanzan la altura mínima requerida. Específicamente, en la Tabla 4 se muestran los proveedores que cumplen con las dimensiones mínimas para largo y ancho. En cuanto a la altura, solo uno de los seis proveedores logró cumplir con la dimensión mínima establecida.

13

Respecto a la tolerancia de ± 3 mm en piezas individuales, en la Tabla 5, se puede observar que únicamente el proveedor 3 no cumple con esta tolerancia para las dimensiones de ancho y alto.

14

Absorción de agua

Los resultados de la prueba de absorción de agua realizada durante 24 horas se presentan en la Tabla 6. Esta tabla incluye los valores promedios de absorción para cada proveedor y la desviación estándar, así como los correspondientes a todas las piezas de ladrillo analizadas.

De acuerdo con la NMX-C-404-ONNCCE-2012, el nivel máximo de absorción de agua para piezas de arcilla en un período de 24 horas es del 23 %. Los resultados mostrados en la Tabla 6, indican que tres proveedores (3, 4 y 5) cumplen con este requisito, mientras que los tres restantes (1, 2 y 6) presentan niveles de absorción superior al nivel máximo de la norma NMX-C-404. A pesar de estas variaciones, el promedio de absorción de agua para el total de las piezas analizadas cumple con el nivel recomendado.

15

Peso volumétrico

En la tabla 7 se muestran el pesos volumétrico primedio y la desviaciones estándar de cada proveedor. También contiene sus respectivos valores para el total de la población analizada.

16

Las NTCM-23 establecen que el peso volumétrico neto mínimo para piezas de arcilla artesanal en estado seco debe ser de 1300 kg/m³. A partir de los resultados de la tabla 7, se observa que todos los proveedores cumplen con este requisito. Incluso, al considerar el mayor valor de la desviación estándar (100 kg/m³ para el proveedor 1), las piezas siguen cumpliendo con este requerimiento.

Resistencia a la compresión en piezas de ladrillo

En la Tabla 8, se muestran los valores promedios de carga de ruptura y la resistencia a la compresión de cada proveedor, junto con sus desviaciones típicas.

17

Según la NMX-C-441-ONNCCE-2013 establece que las piezas de tabique artesanal, de uso no estructural, deben de tener una resistencia media de 30 kg/cm² y una resistencia mínima individual de 24 kg/cm². Los valores de la Tabla 8 muestran que las piezas de LBR analizadas son aptas para uso no estructural, excepto las del proveedor 6.

Empleando los valores del esfuerzo de compresión (ec1) y la desviación típica del esfuerzo (σesfuerzo) (Tabla 8), se determinó el coeficiente de variación(Cp), con la finalidad de calcular la resistencia de diseño a compresión.

Los valores promedios de la resistencia de diseño a compresión ec5 calculados con la ecuación 3, y para cada proveedor, son mostrados en la Tabla 9. Así también se muestran los valores de las deviaciones típicas y sus coeficientes de variación (Cp). Cabe mencionar que para los proveedores 2, 4 y 5, se utilizó el valor para Cp de 0.35 como lo indican las NTCM-23.

Los resultados de la resistencia de diseño a compresión, presentados en la Tabla 9, muestran que ningún proveedor cumple con la resistencia mínima de 60 kg/cm² establecida por la normativa NTCM-23 para los LBR, que es insuficiente para este parámetro. El déficit de resistencia varía entre los proveedores, alcanzando los 84.95% en el caso del proveedor 3 y los 36.67% en el caso del proveedor 4.

18

Las bajas resistencia de diseño a compresión observada en las piezas de ladrillo indica que, no se puede considerar una mampostería de buena calidad. Cabe señalar que los ladrillos de barro requieren suficiente resistencia mecánica para asegurar una adecuada transmisión de cargas, además de garantizar durabilidad, contribuye significativamente en la estabilidad y resistencia de los muros.

CONCLUSIONES

La resistencia de diseño a compresión del mortero de pega cumplió con lo indicado en las NTCM-23 para mortero tipo I, siendo que las probetas cúbicas mostraron capacidades de resistencias superiores al valor mínimo de 125 kg/cm², lo que indica que el mortero empleado en la práctica habitual local fue considerado adecuado y de buena calidad.

Las unidades de mampostería analizadas cumplieron con las dimensiones mínimas de longitud y ancho especificadas en la NMX-C-404-ONNCCE-2012, aunque en la mayoría no se alcanzó la altura mínima requerida. Se constató que las piezas de casi todos los proveedores se mantienen dentro de la tolerancia de ± 3 mm en relación con las dimensiones de fabricación establecidas.

En cuanto al porcentaje de absorción de agua, se observa que solo los ladrillos de tres de los seis proveedores se encontraban por debajo del límite máximo de 23%, lo que sugiere una permeabilidad adecuada. No obstante, las unidades de mampostería de los tres proveedores restantes mostraron niveles de absorción superiores a 23%, lo cual indica una porosidad mayor a la recomendada.

Todos los valores de peso volumétrico de las piezas evaluadas cumplieron con el mínimo de 1300 kg/m³ para tabiques de arcilla artesanal, según recomiendan las NTCM-23. Sin embargo, como no todas las piezas alcanzaron un nivel adecuado de absorción de agua, es necesario mejorar los procesos de compactación y vibrado de la pasta de arcilla para optimizar la correlación entre la porosidad y el peso volumétrico.

En cuanto a la resistencia de diseño a compresión, las piezas ensayadas resultaron muy deficientes, ya que ninguna cumplió con el valor mínimo de 60 kg/cm² para tabiques macizos de arcilla artesanal establecido por las NTCM-23. Por lo tanto, estas piezas no son adecuadas para su uso en muros de carga, aunque pueden ser utilizadas en aplicaciones no estructurales.

De acuerdo con los resultados presentados, es necesario mejorar la uniformidad de la geometría de las piezas. Aunque superan las dimensiones mínimas de longitud y ancho recomendadas por la NMX-C-404-ONNCCE-2012, existe una variabilidad significativa entre los diferentes proveedores. Además, es crucial optimizar la porosidad de las piezas para que no excedan el 23 % de absorción de agua, tal como lo estipula la misma normativa. Al lograr esto, se considera que se podrá mejorar la adherencia entre el ladrillo y el mortero, aumentando así la durabilidad de las piezas.

Finalmente, se considera algo muy necesario regular y controlar de manera más efectiva el proceso local de fabricación de ladrillo artesanal de barro para elevar la calidad del material. Esto asegurará que los muros de mampostería construidos en Tuxtla Gutiérrez posean la resistencia adecuada y cumplan con los estándares de seguridad y calidad requeridos.

Referencias

Aguilera Morán, M. D. (2016). Caracterización de las propiedades físico-químicas del tabique de barro recocido para la ciudad de Aguascalientes y área conurbada [Tesis de maestría, Universidad de Aguascalientes]. Repositorio institucional de la Universidad de Aguascalientes http://bdigital.dgse.uaa.mx:8080/xmlui/handle/11317/692?show=full

Arbildo Huamani B., Rojas Paco M. C. (2017). Ensayo de compresión axial y compresión diagonal de especímenes de albañilería de ladrillos de arcilla (Hércules I) fabricados en la ciudad de Tacna. Tesis de licenciatura. Universidad Privada de Tacna. https://repositorio.upt.edu.pe/bitstream/handle/20.500.12969/335/Arbildo-Brayam-Rojas-Melany.pdf?sequence=1&isAllowed=y

Argüello Méndez, T. R. (2022). La Producción de la Vivienda Popular en Tuxtla Gutiérrez, Chiapas. Universidad Autónoma de Chiapas. https://drive.google.com/file/d/1oJzDnA5C6fC75ypwrs6nw06I-pVFnL09/view?pli=1

Berríos Alvarado G. J., Gómez Bonilla J. H. (2015). Revisión de la metodología de evaluación de la resistencia a compresión de la mampostería de barro cocido. Tesis de licenciatura. Universidad de El Salvador. https://ri.ues.edu.sv/id/eprint/8652/1/Revisión%20de%20la%20metodología%20de%20evaluación%20de%20la%20resistencia%20a%20la%20compresión%20de%20la%20mampostería%20de%20ladrillo%20de%20barro%20cocido.pdf

Meli R. (1975). Comportamiento sísmico de muros de mampostería. Instituto de Ingeniería, UNAM, Serie Azul No. 352. México, DF, abril, 114 pp.

Normas Técnicas Complementarias para Diseño y Construcción de Estructuras de Mampostería. (2023). Gaceta Oficial de la Ciudad de México.

Organismo Nacional de Normalización y Certificación de la Construcción y la Edificación, S. C. (2010). Industria de la construcción - Cemento para albañilería (mortero) - Especificaciones y métodos de ensayo. (NMX-C-021-ONNCCE-2010).

Organismo Nacional de Normalización y Certificación de la Construcción y la Edificación, S. C. (2013). Industria de la construcción - Mampostería – Resistencia a la compresión de bloques, tabiques o ladrillos y tabicones y adoquines – Método de ensayo, (NMX-C-036- ONNCCE-2013).

Organismo Nacional de Normalización y Certificación de la Construcción y la Edificación, S. C. (2014). Industria de la construcción - Cementantes hidráulicos - Especificaciones y métodos de ensayo, (NMX-C-038-ONNCCE-2013).

Organismo Nacional de Normalización y Certificación de la Construcción y la Edificación, S. C. (2012). Industria de la construcción – Mampostería – Bloques, tabiques o ladrillos y tabicones para uso estructural – Especificaciones y métodos de ensayo, (NMX-C-404-ONNCCE-2012).

Organismo Nacional de Normalización y Certificación de la Construcción y la Edificación, S. C. (2014). Industria de la construcción - Cementantes hidráulicos - Especificaciones y métodos de ensayo, (NMX-C-414-ONNCCE-2014).

Organismo Nacional de Normalización y Certificación de la Construcción y la Edificación, S. C. (2010). Industria de la construcción - Cementos hidráulicos - Determinación de la resistencia a la compresión de cementantes hidráulicos, (NMX-C-061-ONNCCE-2010).

Piscal Arévalo, C. M., Afanador García, N., & Medina, S. (2012). Resistencia a la comprensión de ladrillos en el municipio de Ocaña. Revista Ingenio. 4(1), 12–17. https://revistas.ufps.edu.co/index.php/ingenio/article/view/1998

Soto G. F., Sánchez L. P. (2017). Estudio comparativo de la resistencia a compresión, absorción y dimensionamiento del ladrillo rafón producido en Quimistán, Chamelecón y Florida, Honduras. Inovare Ciencia y Tecnología, 6(1), 97-116. https://unitec.edu/innovare/published/volume-6/number-1/616-estudio-comparativo-de-la-resistencia-a-la-compresion-absorcion-y-dimensionamiento-del-ladrillo-rafon-producido-en-quimistan-chamelecon-y-florida-honduras.pdf

Valdivia Espinoza C. (2020). Determinación de la resistencia a la compresión axial y resistencia al corte de la albañilería de ladrillos pandereta de arcilla fabricado de manera industrial en la ciudad de Huánuco. Tesis de licenciatura. Universidad Nacional Hermilio Valdizán. https://repositorio.unheval.edu.pe/handle/20.500.13080/5816