Identificación de estudiantes reflexivos en las instituciones de educación superior en México

Identification of reflective students in higher education institutions in Mexico

Manuel de Jesús Moguel Liévano manuel.moguel@unach.mx Facultad de Contaduría y Administración C-I Universidad Autónoma de Chiapas. Tuxtla Gutiérrez, Chiapas México orcid https://orcid.org/0000-000-3-3650-5038
Oscar Ausencio Carballo Aguilar oscar.carballo@unach.mx Centro de Estudios para el Desarrollo Municipal y Políticas Públicas Universidad Autónoma de Chiapas. Tuxtla Gutiérrez, Chiapas México orcid https://orcid.org/0000-0002-4868-7484
Luis Alejandro Trujillo Santos ltsantos@unach.mx Facultad de Contaduría y Administración C-I Universidad Autónoma de Chiapas. Tuxtla Gutiérrez, Chiapas México orcid https://orcid.org/0000-0003-3106-0922
Roger Irán Gordillo Rodas Facultad de Contaduría y Administración C-I Universidad Autónoma de Chiapas. Tuxtla Gutiérrez, Chiapas México orcid https://orcid.org/0009-0007-6047-8101
Enrique Gutiérrez Espinosa Facultad de Contaduría y Administración C-I Universidad Autónoma de Chiapas. Tuxtla Gutiérrez, Chiapas México orcid https://orcid.org/0000-0002-2214-9098


DOI: https://doi.org/10.31644/IMASD.41.2025.a05

Fecha de recepción: 23 de febrero de 2024
Fecha de aceptación: 13 de mayo de 2024
Fecha de publicación: 06 de junio de 2025

Resumen

El presente artículo Identificación de estudiantes reflexivos en las Instituciones de Educación Superior en México, es un valor agregado emanado de la investigación El aprendizaje reflexivo en los estudiantes del tipo superior en México, liderado por el cuerpo académico Estudio de las prácticas innovadoras organizacionales, y la colaboración de la Red de investigación Desarrollo organizacional y empresarial, entre 2022 y 2023, a una población de 2172 estudiantes (44% femenino y 56% masculino), con rangos de edad de 18 a 26 años e inscritos en once programas educativos,  provenientes de seis instituciones de educación superior en la república mexicana (FCyA C-I y FI de la UNACH e ITTG, en Chiapas; ITCJ y UTCJ en Ciudad Juárez, Chihuahua; y la UAEMex, en el Estado de México), concluyendo que de la población mencionada solamente un estudiante resultó altamente reflexivo al responder las primeras seis preguntas del cuestionario de manera reflexiva, de sexo masculino e inscrito en el cuarto semestre de la Licenciatura en Sistemas Computacionales en la FCyA C-I de la Unach, con las cualidades y ventajas competitivas que dicha condición le genera. Durante el análisis por variables se observa que solamente algunos estudiantes logran responder hasta la pregunta cuatro y en ocasiones hasta la cinco, resultados que no deben pasar desapercibidos para los objetivos buscados.

El resultado del análisis estadístico de la variable sexo con la variable respuestas reflexivas de la pregunta 1 es aceptar la hipótesis de investigación con un nivel de confianza del 95%, es decir, la relación entre las variables es significativa; se concluye que las respuestas reflexivas aportadas por los integrantes de la muestra si tienen una relación significativa con su sexo.

Palabras clave: aprendizaje; reflexión; estudiantes reflexivos; pensamiento reflexivo; IES

-Abstract-

The following article, Identification of reflective students in higher education institutions in Mexico, has an added value emanated from the research on  Reflective learning in higher education students in Mexico, led by the academic group “Studies in innovative organizational practices” with the collaboration of the Research Network, Organizational and business development, in the period between 2022 and 2023, to a population of 2,172 students (44% female, and 56% male), with an age range of 18 to 26 years, who were enrolled in eleven educational programs, from six higher education institutions in Mexico (FCyA CI and FI of the Autonomous University of Chiapas (UNACH) and ITTG, in Chiapas; ITCJ and UTCJ in Ciudad Juarez, Chihuahua; and the UAEMex, in the State of Mexico). Results demonstrate that from the study participants, only one student was highly reflective when answering the first six questions of the questionnaire. Said respondent was male and enrolled in the fourth semester of the Bachelor's Degree in Computer Systems at the Accounting and Administration Faculty (FCyA), Campus I of the UNACH. Employing variable data analysis, we found that only a few students managed to answer up to question four, and on occasions up to question five. It is important to note these results to comply with the intended objectives.

The results of the statistical analysis of the “gender variable” with the “reflective responses variable” of question 1, accepts the research hypothesis with a confidence level of 95%. Thus, the relationship between the variables is significant; it is concluded that the reflective responses provided by the members of the sample group do have a significant relationship with their gender.

Keywords: learning; reflection; reflective students; reflective thinking; HEI.

Introducción

El presente trabajo es continuación de la investigación El aprendizaje reflexivo entre los estudiantes del tipo superior en México, realizada por el Cuerpo Académico “Estudio de las prácticas innovadoras organizacionales”, adscrito a la Facultad de Contaduría y Administración C-I (FCyA C-I) de la Universidad Autónoma de Chiapas (UNACH), en colaboración con la Red de investigación “Desarrollo organizacional y empresarial” con sede en el Instituto Tecnológico de Ciudad Juárez, Chihuahua, durante marzo de 2022 a septiembre de 2023, en la que participaron seis Instituciones de Educación Superior (IES), cuyos resultados se presentaron en el Informe final a la Dirección general de investigación y posgrado de la UNACH.

La investigación aludida tuvo como objetivo principal conocer en qué grado los estudiantes del tipo superior en México hacen uso de procesos reflexivos en sus estrategias de aprendizaje durante su formación profesional, habida cuenta que, de acuerdo con la literatura consultada para la construcción del marco teórico, el momento reflexivo parece ser un estadio diferente y tal vez superior a los tipos de aprendizaje por razonamiento y memorístico, sin demeritar la importancia que estos tienen en los procesos de aprendizaje en todas las áreas del conocimiento. 

Como instrumento de recolección de datos empíricos se utilizó un cuestionario creado en el año 2003 para fines de indagar el aprendizaje organizacional en el marco de la realización de la tesis doctoral El aprendizaje organizacional: naturaleza, evolución y perspectivas, estudio de caso en cuatro organizaciones en México (Moguel, 2003)  en el Posgrado en Estudios Organizacionales en la Universidad Autónoma Metropolitana unidad Iztapalapa, en la cual se examinó la forma en que las personas aprenden en el ambiente de la organización, donde la hipótesis fue que pueden presentarse tres tipos de aprendizaje: memorístico (óntico), de razonamiento (ontológico) y reflexivo (epistémico), y para su aplicación en la investigación sobre el aprendizaje reflexivo en los estudios universitarios se llevaron a cabo las adecuaciones pertinentes.

En el caso de la investigación sobre el aprendizaje reflexivo en los estudiantes del tipo superior en México, participaron seis IES; las cuales son: la Facultad de Contaduría y Administración C-I (FCyA C-I) de la Universidad Autónoma de Chiapas (UNACH), el Instituto Tecnológico de Ciudad Juárez (ITCJ), Chihuahua, el Instituto Tecnológico de Tuxtla Gutiérrez (ITTG), Chiapas, la Universidad Autónoma del Estado de México (UAEmex), la Universidad Tecnológica de Ciudad Juárez (UTCJ), Chihuahua, y la Facultad de Ingeniería (FI) de la Universidad Autónoma de Chiapas.

Las licenciaturas o programas educativos incluidos son: Ingeniería Civil (IC), Ingeniería Electromecánica (IEM), Ingeniería en Gestión Empresarial (IGE), Ingeniería en Logística (IL), Ingeniería en Sistemas Computacionales (ISC), Ingeniería Industrial (II), Ingeniería Mecánica (IM), Licenciatura en Administración (LA), Licenciatura en Contaduría (LC), Licenciatura en Gestión Turística (LGT), y Licenciatura en Sistemas Computacionales (LSC); once en total, siete del área de las ingenierías y cuatro del área administrativo-contable.

La población observada fue de 2172 estudiantes; de ellos 982 (44.3 %) son mujeres y 1210 (55.7 %) son hombres, provenientes de las IES y programas educativos citados.

El instrumento de recolección de datos utilizado contiene 24 preguntas; las primeras seis son de opción múltiple, y de la pregunta siete a la 24 se estructuran en escala de Likert. El trabajo que aquí se presenta explora solamente el comportamiento de las primeras seis preguntas, las cuales se constituyen de una opción reflexiva, una opción de razonamiento y dos opciones memorísticas, elaboradas tomando en cuenta los aportes teóricos de los autores consultados en relación a las características de las personas reflexivas, tanto en la tesis de aprendizaje organizacional (Moguel, 2003) como en la investigación del aprendizaje reflexivo en las IES en México. Entonces, lo que nos interesa es conocer cuántos estudiantes de la población respondieron las opciones reflexivas en cada pregunta, y así determinar quiénes de ellos son reflexivos en sus estudios profesionales y seguramente en los demás roles de su vida.

Confiabilidad del instrumento de investigación

En relación con la confiabilidad del instrumento de investigación se tiene lo siguiente: el coeficiente Alfa de Chronbach obtenido para el cuestionario completo en el programa SPSS es de 0.888 con 18 elementos, resultado que de acuerdo con la teoría en la materia puede calificarse como un instrumento de alta confiabilidad. Los 18 elementos se refieren a los ítems en escala de Likert -de la pregunta siete a la 24- con los cuales trabaja esta escala. Para determinar la confiabilidad de las preguntas uno a la seis, objeto de este estudio, se procedió a su cálculo estadístico en el programa Excel con los 2172 registros del estudio original obteniendo una confiabilidad de 0.60 la cual se considera confiable. Además, la aplicación del instrumento en dos momentos diferentes, los datos con relación con los momentos cognitivos son los siguientes: memoria (2003, 14%; 2023, 18%), razonamiento (2003, 74%; 2023, 68%), y reflexión (2003, 12%; 2023, 14%), situación que refleja un comportamiento bastante consistente con veinte años de diferencia en su aplicación. Por lo tanto, se puede considerar en términos generales que el instrumento de investigación es confiable de acuerdo con Hernández, et. al (2014).

Con los argumentos antes expuestos y siguiendo a Hernández et. al. (2014) se puede afirmar que el instrumento de investigación aplicado en ambos estudios, tanto en el trabajo original del año 2003 como para la investigación de estudiantes reflexivos en el año 2023, muestra una consistencia interna aceptable.

Método

Para llevar a cabo este estudio en el campo de la tradición cualitativa, aunque se incluye una sección de análisis estadístico que sugiere una investigación de corte mixto, se desarrolló una metodología por filtración en cada pregunta, es decir, tomando como insumo principal la base de datos de 2172 registros en el programa Excel del estudio original y utilizando los filtros en cada ítem se lleva a cabo un tamiz de respuestas reflexivas en la pregunta uno; de ese conjunto de respuestas reflexivas se filtra la respuesta reflexiva de la pregunta dos; de ese conjunto de respuestas reflexivas se filtra la respuesta reflexiva de la pregunta tres, de ese conjunto de respuestas reflexivas se filtra la respuesta reflexiva de la pregunta cuatro, de ese conjunto de respuestas reflexivas se filtra la respuesta reflexiva de la pregunta cinco, y finalmente, de ese conjunto de respuestas reflexivas se filtra la respuesta reflexiva de la pregunta seis. La siguiente figura permite visibilizar este procedimiento desde la teoría de conjuntos, donde RRP significa respuesta reflexiva por pregunta.

Imagen01

Con la finalidad de operacionalizar dicho proceso, se establece un método llamado “Línea de respuestas reflexivas” en el cual se representan las primeras seis preguntas del cuestionario con las iniciales P1, P2, P3, P4, P5 y P6 -anteponiendo al inicio de la línea, antes de P1, la muestra correspondiente de la variable en análisis- en las cuales se indica el número de respuestas reflexivas en cada una de las preguntas, y como puede suponerse, las respuestas reflexivas van disminuyendo de manera drástica desde la pregunta 1 a la pregunta 6, como se observará en los análisis subsiguientes; siendo precisamente este fenómeno lo que nos interesa estudiar: cuantos estudiantes son totalmente reflexivos en cada una de las variables, inclusive se puede llegar a identificar a dichos estudiantes con la finalidad de conocer sus cualidades y hábitos de estudio que lo hacen un estudiante altamente reflexivo, de acuerdo con nuestro instrumento de análisis. El Esquema 1 ilustra este procedimiento.

Imagen02

A continuación, se procede a llevar a cabo el análisis de identificación de estudiantes reflexivos en las principales variables establecidas, como son: estudio de la población total, instituciones de educación superior (IES), programas educativos y sexo, en todos los casos las observaciones se realizan vía los filtros de respuestas reflexivas antes señalados.

1. Análisis de la población total del estudio original, 2172 estudiantes

Bajo la metodología de filtración explicada anteriormente, de la población total de 2172 estudiantes en las seis IES participantes entre noviembre de 2022 y mayo de 2023, se encuentran los siguientes resultados:

Para la pregunta 1, se encontraron 540 respuestas reflexivas (25 %).

Para la pregunta 2, se encontraron 222 respuestas reflexivas (41 %).

Para la pregunta 3, se encontraron 83 respuestas reflexivas (37 %)

Para la pregunta 4, se encontraron 23 respuestas reflexivas (28 %)

Para la pregunta 5, se encontraron 7 respuestas reflexivas (30 %)

Para la pregunta 6, se encontraron 1 respuestas reflexivas (14 %)

Haciendo uso de la línea de respuestas, se tiene la siguiente representación.

Imagen03

Lo anterior significa que de la muestra total de 2172 estudiantes:

- 540 respondieron la opción reflexiva en la pregunta 1; de ellos…

- 222 respondieron la opción reflexiva de la pregunta 2; de ellos…

- 83 respondieron la opción reflexiva de la pregunta 3; de ellos…

- 23 respondieron la opción reflexiva de la pregunta 4; de ellos…

- 7 respondieron la opción reflexiva de la pregunta 5; y de ellos…

- 1 respondió la opción reflexiva de la pregunta 6.

Toda vez que el estudio permite identificar al o la estudiante en todas sus cualidades y con la finalidad de conservar su identidad solamente se hace referencia de la información general. En el caso de la persona que respondió las seis respuestas reflexivas, es un estudiante del sexo masculino, de cuarto semestre de la Licenciatura en sistemas computacionales, en la FCyA C-I de la UNACH, situación que nos favorece para hacer un seguimiento de su desempeño escolar en los ciclos subsiguientes.

Los siete estudiantes que respondieron las respuestas reflexivas hasta la pregunta cinco, tienen las siguientes características:

Imagen04

El cuadro de datos permite observar que de los siete estudiantes; uno pertenece a la Universidad Tecnológica de Ciudad Juárez, inscrito en el PE de Ingeniería en sistemas computacionales, quinto semestre, sexo masculino; y seis pertenecen a la Facultad de contaduría y administración C-I de la Universidad Autónoma de Chiapas, de los cuales dos están inscritos en la Licenciatura en Administración, dos en la licenciatura en sistemas computacionales, uno en la licenciatura en contaduría y uno en la licenciatura en gestión turística; cinco de ellos se encuentran en noveno semestre y uno en cuarto; cuatro son de sexo masculino y dos de sexo femenino, información que nos parece relevante para afirmar que los egresados de los programas educativos de la FCyA C-I de la UNACH muestran un importante componente reflexivo.

Con el mismo procedimiento se continúa realizando el análisis de las variables de la investigación, a saber: IES, licenciaturas o programas educativos y sexo.

2. Análisis por Instituciones de educación superior

A continuación, se lleva a cabo el estudio por IES.

2.1) Facultad de Contaduría y Administración C-I de la UNACH, cuya muestra asciende a 1196 estudiantes, con los siguientes resultados.

Para la pregunta 1, se encontraron 291 respuestas reflexivas (24 %); para la pregunta 2, se encontraron 121 (42 %); para la pregunta 3, se encontraron 43 (35 %); para la pregunta 4, se encontraron 13 (30 %); para la pregunta 5, se encontraron 6 (46 %); y para la pregunta 6, se encontró 1 (17 %). Su representación gráfica en la línea de respuestas es la siguiente.

Imagen05

Seis estudiantes respondieron las respuestas reflexivas hasta la pregunta cinco, más el alumno que contestó hasta la pregunta seis, cuyas características coinciden con la información de los estudiantes de la FCyA C-I que aparecen en el análisis anterior, por lo tanto, se obvia su identificación.

2.2) Instituto Tecnológico de Ciudad Juárez, Chihuahua (ITCJ), cuya muestra asciende a 537 estudiantes, con los siguientes resultados.

Para la pregunta 1, se encontraron 135 respuestas reflexivas (25 %); para la pregunta 2, se encontraron 50 (37 %); para la pregunta 3, se encontraron 21, (42%); para la pregunta 4, se encontraron 6, (28 %); para la pregunta 5, se encontraron 0; para la pregunta 6, se encontraron 2. Su representación gráfica en la línea de respuestas es la siguiente.

Imagen06

En este ejercicio del ITCJ se presenta la situación que responden seis estudiantes de manera reflexiva hasta la pregunta cuatro; en la pregunta cinco se observa cero respuestas reflexivas, sin embargo, en la pregunta seis se encuentran dos respuestas reflexivas, dichos estudiantes tienen las siguientes características: ambos son del sexo masculino, uno de la licenciatura en administración, octavo semestre; y uno más de la ingeniería electromecánica, noveno semestre.

2.3) Instituto Tecnológico de Tuxtla Gutiérrez, Chiapas (ITTG), cuya muestra asciende a 121 estudiantes, con los siguientes resultados.

Para la pregunta 1, se encontraron 39 respuestas reflexivas (32 %); para la pregunta 2, se encontraron 18 (46 %), para la pregunta 3, se encontraron 3, (17 %); para las preguntas 4, 5 y 6 se encontraron 0 respuestas reflexivas.

Su representación gráfica en la línea de respuestas es la siguiente.

Imagen07

Tres estudiantes respondieron las respuestas reflexivas hasta la pregunta tres, no hay respuestas reflexivas para las preguntas cuatro, cinco y seis.

2.4) Universidad Autónoma del Estado de México (UAEMex), cuya muestra asciende a 119 estudiantes, con los siguientes resultados.

Para la pregunta 1, se encontraron 35 respuestas reflexivas (29 %); para la pregunta 2, se encontraron 18 (51 %); para la pregunta 3, se encontraron 10 (55 %); para la pregunta 4, se encontró 1 (10 %); para las preguntas 5 y 6 se encontró 0 respuestas reflexivas. Su representación gráfica en la línea de respuestas es la siguiente.

Imagen08

Un estudiante respondió las respuestas reflexivas hasta la pregunta cuatro, inscrito en la Ingeniería en sistemas computacionales, décimo semestre, sexo masculino.

2.5) Universidad Tecnológica de Ciudad Juárez, Chihuahua (UTCJ), cuya muestra asciende a 113 estudiantes, con los siguientes resultados.

Para la pregunta 1, se encontraron 25 respuestas reflexivas (22 %), para la pregunta 2, se encontraron 11 (44 %); para la pregunta 3, se encontraron 4 (36 %); para la pregunta 4, se encontraron 2 (50 %); para la pregunta 5, se encontró 1, (50 %); para la pregunta 6, se encontraron 0 respuestas reflexivas.

Su representación gráfica en la línea de respuestas es la siguiente.

Imagen09

Un estudiante respondió las respuestas reflexivas hasta la pregunta cinco, inscrito en la Ingeniería en sistemas computacionales, quinto semestre, sexo masculino.

2.6) Facultad de Ingeniería FI de la Universidad Autónoma de Chiapas, cuya muestra asciende a 81 estudiantes, con los siguientes resultados.

Para la pregunta 1, se encontraron 15 respuestas reflexivas (18 %) para la pregunta 2, se encontraron 4 (27 %); para la pregunta 3 se encontraron 2 (50 %), para la pregunta 4, se encontró 1 (50 %); para las preguntas 5 y 6 se encontraron 0 respuestas reflexivas.  Su representación gráfica en la línea de respuestas es la siguiente.

Imagen10

Un estudiante respondió las respuestas reflexivas hasta la pregunta cuatro, inscrito en el PE de Ingeniería civil, primer semestre, sexo masculino.

3. Análisis por licenciatura o programa educativo

Como se menciona desde el inicio de este trabajo, el número de programas educativos o licenciaturas en análisis suman once, siete del campo de las ingenierías y cuatro del área de las ciencias contable-administrativo. Sin embargo, dado que el ejercicio de responder todas las respuestas reflexivas de las seis preguntas en análisis no es tarea fácil, aquellas IES cuyos programas educativos tengan muestras pequeñas, menores a 100 registros, parecen tener pocas posibilidades de manifestar la existencia de estudiantes reflexivos en sus filas, y por lo tanto se reduce de manera significativa las posibilidades de búsqueda, de tal manera que el equipo de trabajo ha tomado la decisión de realizar el estudio de identificación de estudiantes reflexivos solamente en los programas educativos cuya muestra exceda de cien (100) registros, como son los casos siguientes: LA, LC, LSC, ISC, LGT e II quedando fuera del análisis los PE con menos de 100 registros, como son: IC, IEM, IM, IGE e IL. En seguida se analizan los programas educativos que cumplen con esta condición.

3.1) Licenciatura en Administración (LA), cuya muestra asciende a 471 estudiantes, con los siguientes resultados.

Para la pregunta 1, se encontraron 125 respuestas reflexivas (26 %); para la pregunta 2, se encontraron 47 (38 %); para la pregunta 3, se encontraron 17 (36 %): para la pregunta 4, se encontraron 5 (29 %); para la pregunta 5, se encontraron 2 (40 %); para la pregunta 6, hay 0 respuestas reflexivas.  Su representación gráfica en la línea de respuestas es la siguiente.

Imagen11

Dos estudiantes respondieron las respuestas reflexivas hasta la pregunta cinco, y tienen las siguientes características: pertenecen a la FCyA C-I de la UNACH, sexo femenino, inscritas en el noveno semestre.

3.2) Licenciatura en Contaduría (LC), cuya muestra asciende a 403 estudiantes, con los siguientes resultados.

Para la pregunta 1, se encontraron 87 respuestas reflexivas (21 %); para la pregunta 2, se encontraron 41 (47 %); para la pregunta 3, se encontraron 1, (29 %); para la pregunta 4, se encontraron 3 (25 %); para la pregunta 5, se encontró 1 (33 %); para la pregunta 6, hay 0 respuestas reflexivas.  Su representación gráfica en la línea de respuestas es la siguiente.

Imagen12

Un estudiante respondió las respuestas reflexivas hasta la pregunta cinco, y pertenece a la FCyA C-I, noveno semestre, sexo masculino.

3.3) Licenciatura en Sistemas Computacionales (LSC), cuya muestra asciende a 330 estudiantes, con los siguientes resultados.

Para la pregunta 1, se encontraron 72 respuestas reflexivas (22 %); para la pregunta 2, se encontraron 30 (42 %); para la pregunta 3, se encontraron 16 (53 %); para la pregunta 4, se encontraron 5 (31 %); para la pregunta 5, se encontraron 2 (40 %); para la pregunta 6, se encontró 1 (50 %). Su representación gráfica en la línea de respuestas es la siguiente.

Imagen13

La información destaca que un estudiante respondió las seis preguntas reflexivas, en consecuencia, se trata del mismo estudiante identificado en variables anteriores del sexo masculino del cuatro semestre, inscrito en LSC; y dos estudiantes respondieron de manera reflexiva hasta la pregunta cinco y son los mismos de la FCyA C-I, uno de ellos del noveno semestre del sexo masculino y el alumno ya citado.

3.4) Ingeniería en Sistemas Computacionales (ISC), cuya muestra asciende a 291 estudiantes, con los siguientes resultados.

Para la pregunta 1, se encontraron 84 respuestas reflexivas (29 %) para la pregunta 2, se encontraron 38 (45 %); para la pregunta 3, se encontraron 18 (47 %); para la pregunta 4, se encontraron 3, (17 %); para la pregunta 5, se encontró 1 (33 %); para la pregunta 6, hay 0 respuestas reflexivas. Su representación gráfica en la línea de respuestas es la siguiente.

Imagen14

Un estudiante respondió las respuestas reflexivas hasta la pregunta cinco, y se trata del mismo inscrito en la UTCJ, quinto semestre, sexo masculino.

3.5) Licenciatura en Gestión Turística (LGT), cuya muestra asciende a 243 estudiantes, con los siguientes resultados.

Para la pregunta 1, se encontraron 68 respuestas reflexivas (28 %); para la pregunta 2, se encontraron 25 (37 %); para la pregunta 3, se encontraron 5 (20 %); para la pregunta 4, se encontraron 2 (40 %); para la pregunta 5, se encontraron 1 (50 %); para la pregunta 6, hay 0 respuestas reflexivas. Su representación gráfica en la línea de respuestas es la siguiente.

Imagen15

Un estudiante respondió las respuestas reflexivas hasta la pregunta cinco, inscrito en la FCyA C-I de la UNACH, noveno semestre, sexo masculino.

3.6) Ingeniería Industrial (II), cuya muestra asciende a 168 estudiantes, con los siguientes resultados.

Para la pregunta 1, se encontraron 45 respuestas reflexivas (27 %); para la pregunta 2, se encontraron 18 (40 %): para la pregunta 3, se encontraron 6 (33 %); para la pregunta 4, se encontraron 2 (33 %); para las preguntas 5 y 6, se encontraron 0 respuestas reflexivas.

Su representación gráfica es la siguiente.

Imagen16

Dos estudiantes respondieron las respuestas reflexivas hasta la pregunta cuatro, inscritos en el ITCJ, quinto semestre, uno de sexo masculino y otro femenino.

4. Análisis por Sexo

4.1) Sexo Femenino, cuya muestra asciende a 962 estudiantes, con los siguientes resultados.

Para la pregunta 1, se encontraron 213 respuestas reflexivas (22 %); para la pregunta 2, se encontraron 97 (45 %); para la pregunta 3, se encontraron 22 (23 %); para la pregunta 4, se encontraron 7 (32 %); para la pregunta 5, se encontraron 2 (28 %); para la pregunta 6, hay 0 respuestas reflexivas. Su representación gráfica en la línea de respuestas es la siguiente.

Imagen17

Dos estudiantes respondieron las respuestas reflexivas hasta la pregunta cinco, son del sexo femenino, noveno semestre, inscritas en LA de la FCyA C-I de la UNACH.

4.2) Sexo Masculino, cuya muestra asciende a 1210 estudiantes, con los siguientes resultados.

Para la pregunta 1, se encontraron 327 respuestas reflexivas (27 %); para la pregunta 2, se encontraron 125 (38 %); para la pregunta 3, se encontraron 61 (49 %); para la pregunta 4, se encontraron 16 (29 %); para la pregunta 5, se encontraron 5 (26 %); para la pregunta 6, hay 1 respuesta reflexiva (20 %). Su representación gráfica en la línea de respuestas es la siguiente.

Imagen18

Cinco estudiantes respondieron las respuestas reflexivas hasta la pregunta cinco, incluyendo el estudiante que respondió hasta la pregunta seis del cuestionario, y tienen las siguientes características: uno, pertenece a la UTCJ, inscrito en la ISC, quinto semestre, sexo masculino; cuatro pertenecen a la FCyA C-I de la Unach, dos inscritos en la LSC, uno en la LC y uno en la LGT, tres de ellos en noveno semestre y uno en cuarto; incluye el estudiante que respondió las seis opciones reflexivas.

Análisis estadístico entre las variables sexo y respuesta reflexiva de la pregunta 1

Toda vez que los componentes y datos de la variable sexo lo permiten, a continuación,

se realiza una prueba de bondad de ajuste, la cual es particularmente útil cuando los datos utilizan la escala nominal, por ello es posible realizar una prueba de hipótesis con datos clasificados en grupos como lo es nuestro caso que se clasifican por sexo, el propósito de la prueba de bondad de ajuste es comparar una distribución de frecuencias observadas con una distribución de frecuencias esperadas.

Se comienza el análisis elaborando una tabla de frecuencias observadas y frecuencias esperadas, es decir, las respuestas que proporcionaron los estudiantes de la variable sexo, en el primer caso, y se calcula las frecuencias esperadas mediante la división del total de las frecuencias observadas entre dos. Como se indica en la Tabla 1.

Imagen19

Al observar el comportamiento de la distribución de frecuencias surge el planteamiento de la siguiente pregunta: ¿Es razonable concluir que no existe diferencia en las respuestas dadas por sexo? Si así fuera se podría esperar que las frecuencias observadas fueran iguales o casi iguales, en otras palabras se esperaría que el mismo número en la categoría masculino fuera igual que en la de femenino en sus respuestas reflexivas para la pregunta 1; así, cualquier discrepancia entre las frecuencias observadas y esperadas se atribuye al azar, o a un error de muestreo, por lo tanto cabe hacernos la siguiente pregunta: ¿Se debe al azar la diferencia encontrada en el número de veces que la respuesta reflexiva es seleccionada o se debe concluir que el sexo si influye en dicha respuesta?

Para contestar esta pregunta se procede a la formulación del siguiente sistema de hipótesis: hipótesis nula (Ho), e hipótesis de investigación (Hi), donde:

- Ho: No hay diferencias significativas entre las frecuencias observadas y las esperadas.

  Versus

- Hi: Si hay diferencias significativas entre las frecuencias observadas y esperadas.

Utilizando un nivel de significancia del 5%, que significa la probabilidad de rechazar la hipótesis nula cuando es verdadera.

El estadístico de prueba a utilizar es la Chi cuadrada dado por:

Imagen20

Donde: 

fo: frecuencias observadas, fe: frecuencias esperadas

Como se indica en la Tabla 2.

Imagen21

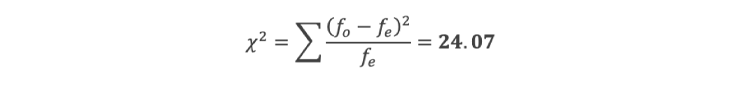
Utilizando la fórmula de Chi cuadrada y aplicando los datos arriba encontrados, tenemos:

Imagen22

Por lo tanto, el valor de Chi cuadrada calculada es de 24.07.

Una vez planteado el sistema de hipótesis para su comprobación se define un nivel de significancia de ∝=5% y un nivel de confianza de Z= 95%. Posteriormente se calcula los grados de libertad para la Chi cuadrada (gl) de acuerdo al procedimiento (número de columnas-1) (número de renglones-1), esto es igual a (2-1) (2-1) = 1*1= 1.

Con estos datos se localiza el valor crítico del estadístico Chi cuadrado en la Tabla H, distribución Chi-cuadrado, en el libro Estadística aplicada a los negocios y la economía, Webster, Allen (2000) de la siguiente forma: considerando 1 gl y nivel de significancia ∝=5%se encuentra que el valor crítico expresado como Imagen23 que al compararlo con el valor calculado de la Chi cuadrada de 24.07 resulta ser menor, es decir, 3.841 < 24.07, relación que sugiere tomar la siguiente decisión:

Rechazar la hipótesis nula y aceptar la hipótesis de investigación con un nivel de confianza del 95%, es decir, la relación entre las variables sexo y respuesta reflexiva de la pregunta 1 es significativa, en otras palabras, son variables dependientes, se concluye que las respuestas reflexivas proporcionadas por los integrantes de la muestra si tienen una relación significativa con su sexo.

Resultados

El presente artículo, como expresamos al inicio, es continuación de la investigación El aprendizaje reflexivo entre los estudiantes del tipo superior en México (2022-2023) cuyos resultados se presentaron en el Informe final, en diversos congresos sobre la materia, y en el libro que se encuentra en proceso de edición para su publicación. La investigación tuvo como objetivo principal conocer en qué grado los estudiantes del tipo superior en México hacen uso de procesos reflexivos durante sus estudios profesionales, toda vez que según la literatura consultada el momento reflexivo parece ser un estadio diferente y tal vez superior a los tipos de aprendizaje por razonamiento y memorístico, sin demeritar la importancia que éstos tienen en los procesos de aprendizaje en todas las áreas del conocimiento humano.

Un objetivo colateral fue conocer cuántos estudiantes de entre la población de los 2172 fueron capaces de contestar las opciones reflexivas de las seis primeras preguntas de cuestionario, en la inteligencia que, en las preguntas en escala de Likert, de la siete a la 24, aproximadamente el 70 por ciento de ellos mostraron una orientación al aprendizaje por razonamiento y quedaba por analizar e identificar a los estudiantes enteramente reflexivos en esta muestra. El procedimiento se explicó en la sección método de este trabajo, obteniendo los siguientes resultados.

- Solamente una persona, de entre la población de 2172 estudiantes, fue capaz de responder las seis respuestas reflexivas; es del sexo masculino, de cuarto semestre de la LSC, en la FCyA C-I de la Unach. Otros seis estudiantes lograron responder hasta la pregunta cinco las opciones reflexivas: uno de ellos pertenece a la UTCJ, inscrito en el PE de ISC, quinto semestre, sexo masculino; seis pertenecen a la FCyA C-I de la Unach, dos están inscritos en la LA, dos en la LSC, uno en la LC y uno en la LGT; cinco de ellos pertenecen al noveno semestre y uno en cuarto; cuatro son de sexo masculino y dos de sexo femenino.

- En la Facultad de Contaduría y Administración C-I de la Unach, con una muestra de 1196 estudiantes, seis estudiantes respondieron las respuestas reflexivas hasta la pregunta cinco, más el alumno que contestó hasta la pregunta seis, cuyas características coinciden con la información de los estudiantes de la FCyA C-I que aparecen en el análisis anterior, por lo tanto, se obvia su caracterización.

- En el Instituto Tecnológico de Ciudad Juárez, con una muestra de 537 estudiantes, seis de ellos respondieron de manera reflexiva hasta la pregunta cuatro; corresponden a diversos programas educativos; se distribuyen entre el quinto y el décimo semestre; dos son del sexo femenino y cuatro masculinos

- En el Instituto Tecnológico de Tuxtla Gutiérrez, con una muestra de 121 estudiantes, tres de ellos respondieron las respuestas reflexivas hasta la pregunta tres, no hay respuestas reflexivas para las preguntas cuatro, cinco y seis.

- En la Universidad Autónoma del Estado de México, con una muestra de 119 estudiantes, uno de ellos respondió las respuestas reflexivas hasta la pregunta cuatro, inscrito en la ISC, décimo semestre, sexo masculino.

- En la Universidad Tecnológico de Ciudad Juárez, con una muestra de 113 estudiantes, uno de ellos respondió las respuestas reflexivas hasta la pregunta cinco, inscrito en la ISC, quinto semestre, sexo masculino.

- En la Facultad de Ingeniería de la UNACH, con una muestra de 81 estudiantes, uno de ellos respondió las respuestas reflexivas hasta la pregunta cuatro, inscrito en el PE de IC, primer semestre, sexo masculino.

- En la Licenciatura en Administración, con una muestra de 471 estudiantes, dos de ellos respondieron las respuestas reflexivas hasta la pregunta cinco; pertenecen a la FCyA C-I de la Unach, sexo femenino, inscritas en el noveno semestre.

- En la Licenciatura en Contaduría, con una muestra de 403 estudiantes, uno de ellos respondió las respuestas reflexivas hasta la pregunta cinco, y pertenece a la FCyA C-I, noveno semestre, sexo masculino.

- En la Licenciatura en Sistemas Computacionales, con una muestra de 330 estudiantes, uno de ellos respondió las seis preguntas reflexivas, en consecuencia, se trata del mismo estudiante identificado en variables anteriores del sexo masculino del cuatro semestre; uno más respondió de manera reflexiva hasta la pregunta cinco, identificado ya en la FCyA C-I, del noveno semestre del sexo masculino.

- En la Ingeniería en Sistemas Computacionales, con una muestra de 291 estudiantes, uno de ellos respondió las respuestas reflexivas hasta la pregunta cinco, y se trata del mismo inscrito en la UTCJ, quinto semestre, sexo masculino.

- En la Licenciatura en Gestión Turística, con una muestra de 243 estudiantes, uno de ellos respondió las respuestas reflexivas hasta la pregunta cinco, inscrito en la FCyA C-I de la Unach, noveno semestre, sexo masculino.

- En la Ingeniería Industrial, con una muestra de 168 estudiantes, dos de ellos lograron responder las respuestas reflexivas hasta la pregunta cuatro, inscritos en el ITCJ, quinto semestre, uno de sexo masculino y otro femenino.

- En relación con el sexo femenino, con una muestra de 962 estudiantes, dos de ellas respondieron las respuestas reflexivas hasta la pregunta cinco, inscritas en el noveno semestre de la Licenciatura en Administración de la FCyA C-I de la UNACH.

- Respecto del sexo masculino, con una muestra de 1210 estudiantes, cinco de ellos respondieron las respuestas reflexivas hasta la pregunta cinco, incluyendo el estudiante que respondió hasta la pregunta seis: uno, pertenece a la UTCJ, inscrito en la ISC, quinto semestre; cuatro pertenecen a la FCyA C-I de la UNACH, dos inscritos en la LSC, uno en la LC y uno en la LGT, tres de ellos en noveno semestre y uno en cuarto; incluye el estudiante que respondió las seis opciones reflexivas.

Respecto del análisis estadístico entre las frecuencias observadas y las frecuencias esperadas con las respuestas reflexivas de la pregunta 1 en relación con la variable sexo, se observa que se acepta la hipótesis de investigación con un nivel de confianza del 95%, es decir, la relación entre las variables sexo y respuesta reflexiva de la pregunta 1 es significativa, en otras palabras, son variables dependientes, se concluye que las respuestas reflexivas proporcionadas por los integrantes de la muestra si tienen una relación significativa con su sexo.

Discusión

Las formas de aprendizaje han evolucionado durante el devenir de los tiempos, desde los antiguos griegos que se reconocen como grandes maestros de la pedagogía y la didáctica -el método socrático es un auténtico proceso de reflexión-, incluyendo las aportaciones de la educación en China, en la India, en Egipto, en la región hebrea; el pensamiento pedagógico griego, romano, medieval, positivista, socialista, de la escuela nueva, el pensamiento pedagógico crítico; el desarrollo de las teorías del aprendizaje: tradicionales, cognoscitivas, las teorías modernas; y hoy día la educación mediada por las tecnologías de la información y comunicación (TIC’s) que representan una auténtica revolución en el campo educativo con las computadoras, los equipos móviles, la Internet, la Web, las plataformas educativas, etc.

Se puede afirmar también que el avance científico y tecnológico desde que éste inicia hace casi 400 años, cuando René Descartes publica su obra fundadora El discurso del método (1637), el proceso de acumulación de saberes y conocimientos sistematizados y fidedignos se detona en todas las áreas del conocimiento, principalmente en las ciencias naturales, a través de una función privilegio único de los seres humanos: el intelecto, el cual, de acuerdo con nuestros estudios precursores parece presentarse en tres momentos de la cognición humana: memoria, razonamiento y reflexión, siendo éste último, la reflexión, el responsable verdadero del desarrollo de las sociedades y la humanidad, al considerársele la función donde se originan las nuevas ideas, nuevos conocimientos, innovaciones, creaciones, invenciones, descubrimientos, que han permitido alcanzar el estadio científico y tecnológico actual, sin que en la mayoría de los casos, los investigadores y las investigadoras sean conscientes de su capacidad reflexiva y su metodología reflexiva (Alvesson y Skoldberg; 2000) aplicada en sus procesos creativos.

Los resultados obtenidos en este estudio indican que solamente un estudiante de la población de 2172 fue capaz de responder las opciones reflexivas en las seis primeras preguntas del cuestionario aplicado en la investigación El aprendizaje reflexivo en los estudiantes del tipo superior en México, en esa misma muestra seis más respondieron hasta la pregunta cinco; cuando se analizan los datos por variables, es decir, por IES, programas educativos y sexo, las posibilidades de encontrar estudiantes reflexivos disminuyen visiblemente, llegando en muchos casos solo hasta la pregunta cuatro.

Lo antes observado puede estar indicando las dificultades que implica las capacidades reflexivas en los estudiantes del tipo superior en México, con las caracterizaciones de las variables incluidas en el estudio original, tales como IES, programas educativos, sexo, edad (en un rango de 18 a 26 años) y semestre (desde el primero hasta el décimo, en algunos casos), de tal forma que se sugiere la identificación real de los estudiantes reconocidos como reflexivos de manera general y dar seguimiento a sus hábitos de estudio para conocer más sobre ellos con la finalidad de estar en condiciones de modelar, en la medida de lo posible, a estos estudiantes destacados.

Durante la investigación documental en relación con el aprendizaje reflexivo, se encontraron estudios aplicados únicamente a estudiantes de 15 años de nivel Secundaria (Laisequilla, 2018), con la finalidad de analizar los resultados de la prueba PISA. Crespo-Cabuto, et. al. (2019) exploraron las propiedades psicométricas de un instrumento para medir habilidades del pensamiento reflexivo en estudiantado universitario, en el Estado de Sonora, México.

Por su parte González-Moreno (2012) estudia la formación del pensamiento reflexivo en estudiantes en una universidad católica de Bogotá, Colombia, tomando como muestra solo 25 mujeres con promedio de 19 años de edad en una Licenciatura en Pedagogía, en una investigación cualitativa. Gravini e Iriarte (2008) estudiaron los procesos metacognitivos de estudiantes con diferentes estilos de aprendizaje con una muestra de cuatro estudiantes del octavo semestre de la Licenciatura en Psicología en la Universidad del Norte en Barranquilla, Colombia.

Según Piaget (1991) el niño inicia su conducta de reflexión entre los siete y ocho años, cuando comienza a pensar antes de actuar en clara disminución de su conducta impulsiva de la primera infancia (p. 57). De acuerdo con Ruffinelli (2017) la reflexión representa un eje transversal en la formación de los docentes y uno de los pilares básicos del perfil del profesor como un profesional reflexivo, preparado para esta práctica como una fuente de aprendizaje permanente (p. 3).

La investigación El aprendizaje reflexivo entre los estudiantes del tipo superior en México, se llevó a cabo con una población de 2172 (44% femenino y 56% masculino), con rangos de edad entre 18 y 26 años, del primero al décimo semestre (en algunos casos) distribuidos en seis IES y once programas educativos.

Conclusiones

Considerando que el instrumento de investigación fue la encuesta elaborada desde la tesis doctoral sobre aprendizaje organizacional en el año 2003, y replicada con los ajustes propios para su aplicación en la investigación sobre aprendizaje reflexivo en estudiantes universitarios en el año 2023, presenta un alto grado de confiablidad de acuerdo con el Coeficiente Alfa de Cronbach, así como el análisis de confiablidad elaborado para las primeras seis preguntas del cuestionario resulta confiable, más la consistencia mostrada en las dos aplicaciones mencionadas, de acuerdo con Hernández, et. al. (2014) se puede decir que los datos analizados e interpretados en este trabajo tienen suficiente confiabilidad desde la perspectiva científica.

En tal virtud, y toda vez que el instrumento de investigación fue elaborado tomando en cuenta los fundamento teóricos recopilados durante la indagación del estado del arte sobre el fenómeno del aprendizaje reflexivo, se puede asegurar que no resulta fácil para los estudiantes responder todas las respuestas reflexivas del bloque de la pregunta uno a la seis, como ha quedado demostrado en el hecho de que de la población de 2172 estudiantes participantes solamente uno fue capaz de responder dicho bloque de preguntas para ser considerado como estudiante altamente reflexivo, resultando ser un alumno de sexo masculino, del cuarto semestre  de la Licenciatura de Sistemas Computacionales, inscrito en la Facultad de Contaduría y Administración C-I de la UNACH, situación que permite al equipo de investigación darle seguimiento para observar sus hábitos de estudio y conductas como estudiante universitario, así como analizar sus antecedentes en estudios de bachillerato.

No se debe perder de vista a los estudiantes que respondieron hasta la pregunta cinco, quienes tienen su mérito porque se quedaron a una respuesta reflexiva para ser considerados altamente reflexivos. Ellos también deben ser objeto de seguimiento y observación durante su trayectoria escolar, porque pueden favorecer en un futuro el acercamiento a una pedagogía reflexiva en los estudiantes del tipo superior en México, con las cualidades y ventajas competitivas que en otras secciones y otros estudios se han documentado.

Si bien este trabajo tuvo como objetivo identificar a los estudiantes reflexivos en las instituciones de educación superior en México, somos conscientes que lo más importante es cultivar una pedagogía reflexiva encaminada a la creación de los hábitos de pensamiento reflexivo entre nuestros alumnos, lo que redundaría en una verdadera ventaja competitiva como estudiantes universitarios hoy día y como exitosos profesionistas en el futuro cercano. 

Referencias

Alvesson Mats y Kaj Skoldberg (2000) Reflexive Methodology, New Vistas for Qualitative      Research. SAGE Publications, London.

Crespo-Cabuto, A, González-Frías, M. T., Madrid-López, E. J. (2019) Propiedades psicométricas de un instrumento para medir habilidades del pensamiento reflexivo en estudiantado universitario.  Revista Electrónica Educare (Educare Electronic Journal) EISSN: 1409-4258 Vol. 23(3) SETIEMBRE-DICIEMBRE, 2019:1-13. doi: http://dx.doi.org/10.15359/ree.23-3.16. URL: http://www.una.ac.cr/educare.

González-Moreno, C. X. (2012). Formación del pensamiento reflexivo en estudiantes  universitarios. Magis, Revista Internacional de Investigación en Educación, 4 (9), 595-617.

Gravini Donado, M. L., & Iriarte Diazgranados, F. (2008). Procesos metacognitivos de estudiantes con diferentes estilos de aprendizaje. Psicología desde el Caribe, (22), 1-24

Hernández, S., R., Fernández, C., C. y Baptista, L. M. (2014) Metodología de la investigación. McGrawHill. https://apiperiodico.jalisco.gob.mx/api/sites/periodicooficial.jalisco.gob.mx/files/metodologia_de_la_investigacion_-_roberto_hernandez_sampieri.pdf.

Laisequilla R. y Margarita E. (2018) Pensamiento reflexivo para el desarrollo y perfeccionamiento de habilidades superiores de pensamiento. Revista Internacional de Educación y Aprendizaje, 6(3), ISSN 2255-453X. Global Knowledge Academics. Fundación Universitaria Iberoamericana, Universidad Internacional Iberoamericana. http://journals.epistemopolis.org/index.php/ educación.

Moguel, L., M. (2003) Aprendizaje organizacional: Naturaleza, evolución y perspectivas.

Estudio de caso en cuatro organizaciones en México. Universidad Autónoma Metropolitana unidad Iztapalapa, Tesis doctoral.https://www.eumed.net/tesis-doctorales/2011/mjml/indice.htm.

Piaget, J. (1991) Seis estudios de psicología. Labor. http://dinterrondonia2010.pbworks.com/f/Jean_Piaget_Seis_estudios_de_Psicologia.pdf.

Rojas S., R. (2013) Guía para realizar investigaciones sociales. Plaza y Valdez. https://raulrojassoriano.com/cuallitlanezi/wpcontent/themes/raulrojassoriano/assets/libros/Antologia-Libros-Raul-Rojas-Soriano.pdf.

Ruffinelli, A. (2017) Formación de docentes reflexivos: un enfoque en construcción y disputa.

Educ. Pesqui., São Paulo, v. 43, n. 1, p. 97-111, jan./mar. 2017. http://dx.doi.org/10.1590/S1517-9702201701158626. Universidad Alberto Hurtado, Santiago, Chile.

Webster, A. (2000) Estadística aplicada a los negocios y la economía. McGraw Hill. https://dennismontes2.files.wordpress.com/2014/11/estadistica_negocios.pdf.