Síntesis de óxido de zinc mediante el método hidrotermal: efecto del tiempo de envejecimiento

Synthesis of Zinc Oxide by the hydrothermal method: effect of aging time

Kervin Gabriel Rincón Soto Laboratorio de Materiales y Procesos Sustentables (LaMPSus) / Instituto de Investigación e Innovación en Energías Renovables / Universidad de Ciencias y Artes de Chiapas (UNICACH), Tuxtla Gutiérrez, Chiapas, México. kerbriel92@gmail.com orcid https://orcid.org/0009-0008-1775-4796
Edna Iris Ríos Valdovinos Laboratorio de Materiales y Procesos Sustentables (LaMPSus) / Instituto de Investigación e Innovación en Energías Renovables / Universidad de Ciencias y Artes de Chiapas (UNICACH), Tuxtla Gutiérrez, Chiapas, México. edna.rios@unicach.mx orcid https://orcid.org/0000-0003-2755-2385
Maricruz Jiménez Cerda Laboratorio de Materiales y Procesos Sustentables (LaMPSus) / Instituto de Investigación e Innovación en Energías Renovables / Universidad de Ciencias y Artes de Chiapas (UNICACH), Tuxtla Gutiérrez, Chiapas, México. jimenezmary243@gmail.com orcid https://orcid.org/0009-0001-7205-2390
José Francisco Pola Albores Laboratorio de Materiales y Procesos Sustentables (LaMPSus) / Instituto de Investigación e Innovación en Energías Renovables / Universidad de Ciencias y Artes de Chiapas (UNICACH), Tuxtla Gutiérrez, Chiapas, México. francisco.pola@unicach.mx orcid https://orcid.org/0000-0002-8843-5708


DOI: https://doi.org/10.31644/IMASD.43.2026.a04

Fecha de recepción: 28 de junio de 2024
Fecha de aceptación: 08 de octubre de 2025
Fecha de publicación: 01 de febrero de 2026

Resumen

Los nanomateriales tienen aplicaciones diversas, como en salud, medio ambiente, sistemas energéticos y electrónica. Su desempeño en estas áreas depende de propiedades ópticas, morfológicas y físicas específicas, las cuales están determinadas por las condiciones de preparación. La temperatura de reacción, el pH de la solución, la concentración de precursores, el tipo de solvente, la velocidad de agitación y el tiempo de envejecimiento son objeto de estudio en la actualidad. El objetivo del presente trabajo es estudiar el efecto del tiempo de envejecimiento en la obtención de las partículas a distintos tiempos, a 24 h, 12 h y sin envejecer, a dos valores de pH distintos, 7 y 9. La síntesis se realizó mediante el método hidrotermal, utilizando cloruro de zinc (ZnCl₂) e hidróxido de amonio (NH₄OH) como precursores. Las muestras se caracterizaron mediante Difracción de Rayos X (DRX), Microscopía Electrónica de Barrido (MEB) y Espectroscopía Ultravioleta-Visible (UV-Vis). A pH 7, las muestras favorecen la formación de ZnO, con picos más intensos y definidos tras un tiempo de envejecimiento de 24 horas. A pH 9 se observó que el envejecimiento promueve la formación de la fase simonkolleite. En ambos casos, el tamaño de las nanopartículas aumentó con el tiempo, alcanzando aproximadamente 40 nm para pH 7 y 36 nm para pH 9. Además, se observaron anchos de banda de energía de 3.20 eV para ZnO y 3.24 eV para simonkolleite, respectivamente. Se determinó que el pH juega un papel importante en la formación de las fases cristalinas y, junto con el tiempo de envejecimiento, influye en la morfología de los materiales.

Palabras clave: ZnO; simonkolleite; nanopartículas; método hidrotermal

-Abstract-

Nanomaterials have many applications, including in health, the environment, energy, and electronics. Their performance in these areas depends on specific optical, morphological, and physical properties, which are determined by how they are prepared. Factors such as reaction temperature, solution pH, precursor concentration, type of solvent, stirring rate, and aging time are currently studied. The objective of this work is to study the effect of aging time on particle formation at different durations: 24 h, 12 h, and without aging, at two pH values, 7 and 9. The synthesis was done using the hydrothermal method, with zinc chloride (ZnCl₂) and ammonium hydroxide (NH₄OH) as precursors. The samples were characterized by X-ray Diffraction (XRD), Scanning Electron Microscopy (SEM), and Ultraviolet-Visible Spectroscopy (UV-Vis). At pH 7, the samples mainly formed ZnO, with stronger and sharper peaks after 24 hours of aging. At pH 9, aging promoted the formation of the simonkolleite phase. In both cases, particle size increased with aging time, reaching about 40 nm for pH 7 and 36 nm for pH 9. The band gaps were 3.20 eV for ZnO and 3.24 eV for simonkolleite. It was found that pH plays an important role in phase formation and, together with aging time, affects the morphology of the materials.

Keywords: ZnO, simonkolleite, nanoparticles, hydrothermal method.

La nanotecnología es una de las áreas de la investigación que más atención ha ganado en los últimos años, ya que el desarrollo de nuevos materiales a escalas nanométricas <100 nm promueven tecnología emergente en la transición hacia modelos energéticos más amigables con el medio ambiente. Los nanomateriales exhiben propiedades físicas y químicas distintas a las de tamaño macroscópico, esto debido, principalmente, a que tienen una mayor superficie específica por unidad de volumen (Echeverri et al., 2021). Se resalta el interés en el desarrollo de nanomateriales debido a su crecimiento significativo, se espera un mayor entendimiento de la relación entre las propiedades y las estructuras, acompañado de avances en las técnicas de fabricación que favorezcan su aplicación en distintos campos, como la medicina, la óptica, la electrónica, el sector textil, la cosmética, la catálisis y la energía (Malaret et al., 2023).

Las nanopartículas de ZnO destacan por su estructura estable, su naturaleza no tóxica posee una amplia banda de energía prohibida de 3.37 eV y su energía de enlace de excitón es de 60 meV (Widiyandari et al., 2023). Para mantener su competitividad frente a otros materiales, es crucial mejorar los métodos de síntesis para fabricarlo con alta calidad y a bajo costo (Guzmán et al., 2022). Este óxido metálico se obtiene mediante métodos físicos y químicos diversos. Entre las diferentes rutas de síntesis destaca la hidrotermal, ya que es ecológica, económica, sencilla y fácil de controlar. Además, las nanopartículas obtenidas por medio de este método presentan una alta cristalinidad en comparación con las obtenidas mediante otros procesos basados en soluciones (Sansenya et al., 2021).

Investigaciones como la de Pittayathorn et al. (2023), en la que estudiaron el impacto favorable del envejecimiento del ZnO, reportaron que esto se debía al crecimiento en el número de vacantes de oxígeno en el material. Estos resultados resaltan la importancia de explorar factores tales como el envejecimiento y la modificación del pH en la formación de ZnO y simonkolleite, lo que motiva el presente estudio enfocado en entender su efecto sobre la estructura cristalina, la morfología y otras características relevantes del material. Ajustar los parámetros de síntesis en estos métodos permite adaptar las propiedades del material a las necesidades específicas de aplicaciones industriales, asegurando su reproducibilidad, eficiencia y escalabilidad (Guzmán et al., 2022).

Materiales y métodos

Para la síntesis se utilizó el método hidrotermal. Se preparó una disolución de 0,1 mol/L de ZnCl₂ en 0,1 L de H₂O, la cual se agitó constantemente en una parrilla termomagnética (Thermo Scientific) durante 30 min a temperatura ambiente. Se ajustó el pH a 7 y 9 añadiendo NH₄OH 1 mol/L mediante goteo lento. La mezcla se sometió a tres condiciones de envejecimiento: 24 ,12 y 0 h, esta última como control sin envejecimiento. Todos los tratamientos se realizaron en oscuridad y a temperatura ambiente. Posteriormente, cada solución se transfirió a un reactor autoclave de acero inoxidable (17,48×5×5 cm) y se calentó a 200 °C durante 180 min en un horno de convección (modelo Binder). La mezcla se filtró por gravedad y la solución restante se centrifugó a 3500 rpm (≈1500 g) durante 15 min en una centrifugadora (MPW 223e). El precipitado se lavó dos veces con agua y metanol, se secó en una parrilla termomagnética (Thermo Scientific) y finalmente se calcinó a 400 °C durante 240 min en una mufla (Felisa-341).

Caracterización

La estructura cristalina de las muestras se determinó mediante Difracción de Rayos X (DRX) en un difractómetro de marca Rigaku Ultima IV, utilizando radiación Cu Kα con λ = 1.5418 x 10-10 o 1.5418Á, con un ángulo de escaneo 2θ/θ, velocidad de 2° por minuto y un rango de escaneo de 20° a 80°. Voltaje de 40 kV, amperaje de 44 mA y configuración Bragg-Brentano. La morfología se analizó mediante Microscopía Electrónica de Barrido (MEB), utilizando un equipo Hitachi FE-SEM S-5500, a diferentes magnificaciones. La difracción de reflectancia difusa (DRS) se registró en un espectrofotómetro UV-Vis-NIR-3600 de la marca Shimadzu con una esfera integradora en el rango de 200 a 800 nm.

El tamaño del cristal se calculó por la ecuación de Sherrer que corresponde a la ecuación (1).

Imagen01

Donde: k es la constante de Scherrer con valor de 0.89, λ es la longitud de onda de la radiación KαCu, FWHM (Full Width at Half Maximum) el ancho medio de pico (hkl) y θ es la posición angular de picos DRX, mitad de 2θ.

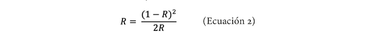
Para el cálculo de la banda prohibida (Eg), se aplicaron dos fórmulas: la de Kubelka-Munk, ecuación (2), y la ecuación de Tauc, ecuación (3).

Imagen02 Imagen03

Donde, R es la reflectancia difusa medida experimentalmente. a el coeficiente de absorción del material, hv la energía incidente del fotón (eV), A una constante de proporcionalidad y “n” es el exponente de la transición electrónica en este caso ½  según lo reportado por Hegde et al., (2024) debido a la naturaleza de la transición directa en el ZnO y del sólido cristalino Simonkolleite (Zn5(OH)8Cl2·H2O).

Resultados y discusión

Difracción de rayos X (DRX)

Las muestras previamente sintetizadas fueron caracterizadas mediante DRX. En la Figura 1 se presentan los difractogramas a distintos tiempos de envejecimiento y pH. Para el análisis, se utilizó el programa PDXL versión 1.8. En la Figura 1a se identificaron las 11 señales de difracción en ángulos de 32°, 34°, 36°, 47°, 56°, 62°, 66°, 67°, 68°, 72° y 76°. Estos valores coinciden con los datos de la tarjeta PDF 01-074-9943 a un ángulo 2θ, lo que indica la formación de ZnO sin impurezas y con una estructura hexagonal tipo wurtzita en fase Zincita que coincide con lo reportado por Sofianos et al., (2021). Esto sugiere que a pH 7, la concentración de OH⁻ es moderada, lo que facilita la formación de hidróxido de zinc, Zn(OH)₂. Este comportamiento puede explicarse porque a pH neutro se alcanza el equilibrio químico adecuado para que el Zn(OH)₂ actúe como precursor intermedio (Yabalak et al., 2024). Durante el proceso hidrotermal, este compuesto se deshidrata, lo que conduce directamente a la formación de la estructura wurtzita, fase termodinámicamente más estable bajo estas condiciones (Cardoso et al., 2022).

La formación de ZnO requiere una serie de reacciones que dependen del pH de la solución como se indica a continuación.

Imagen04 Imagen05 Imagen06 Imagen07

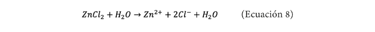
Conforme a lo reportado por Herrera et al., (2010) la ecuación (4) muestra el proceso  inicial de la síntesis en la que el ZnCl2 se disocia en agua, formando Zn2⁺ (ion zinc) + 2Cl(ion cloruro). En la ecuación (5) el NH₄OH libera NH₄⁺ (ion amonio) y OH⁻ (ion hidroxilo). La presencia de OH⁻ en la reacción es importante, ya que de eso depende la formación de Zn(OH)(6), formando lentamente ZnO y agua (7). Los resultados por DRX en la Figura 1a sugieren que cuanto más tiempo se envejeció la solución, más completa fue la conversión de Zn(OH)2 a ZnO. Este efecto se vio favorecido en todas las muestras a pH 7, principalmente en la muestra con 24 h de envejecimiento, seguida de las de 12 y 0 h. A 24 h, los picos del difractograma son más definidos e intensos que los de 12 y sin envejecer. Esto se asocia a que tras el envejecimiento, la conversión de Zn(OH)₂ en ZnO es mayor y existe una mayor predisposición antes del tratamiento térmico. Además, la temperatura del proceso hidrotermal a 400 °C facilita la cristalización mejorando la formación de ZnO. El tamaño del cristal se calculó con la ecuación (1) usando el plano (101), dando como resultado 36 nm para 24 h, 29 nm para 12 y 0 h, atribuido al efecto de envejecimiento. El aumento en el tamaño de cristal, calculado mediante la ecuación de Scherrer, con el tiempo de envejecimiento puede atribuirse a fenómenos de maduración estructural que ocurren durante el reposo de la solución precursora. Principalmente, el proceso de maduración de Ostwald (Sarkar et al., 2023) promueve la redisolución de partículas pequeñas, termodinámicamente menos estables debido a su alta energía superficial, y la posterior redeposición del material sobre partículas más grandes, favoreciendo el crecimiento cristalino. Paralelamente, las nanopartículas primarias de Zn(OH)₂ (precursor de ZnO) o de los precursores de Simonkolleita tienen tiempo para reorientarse, coalescer y sinterizar en solución (Hernández-Díaz et al., 2024), reduciendo defectos y límites de grano internos, lo que resulta en cristalitos individuales de mayor tamaño y mejor cristalinidad, tal como se evidencia en la intensificación y el afinamiento de los picos de DRX.

Por otro lado, en la Figura 1b las señales de difracción se observaron en los ángulos de 22°, 24°, 28°,30°, 31°, 32°, 33°,36°, 44°y 56° a un ángulo 2θ, indexando con la tarjeta PDF 00-0007-0155 correspondiente el material Simonkolleite con estructura trigonal, grupo espacial R-3m(166) y celda de a= 6.3400Á, b=6.3400Á, c= 23.6600Á , α=90.000°, β=90.000°, γ=120.000˚ coincidiendo con la misma tarjeta cristalográfica de He et al., (2019). La elevada concentración de iones a pH 9 conduce a una ruta de síntesis distinta, resultando en la formación de Zn₅(OH)₈Cl₂·H₂O. En este material, los iones Cl⁻ forman parte integral de la estructura, incorporándose entre las capas de zinc e hidróxido que caracterizan su red cristalina, como se muestra en las siguientes reacciones químicas.

Imagen08 Imagen09 Imagen010 Imagen011

El proceso de síntesis sigue las reacciones (4), (5) y (6), pero bajo las condiciones de pH 9, la alta concentración de OH⁻ y Cl⁻ desplaza el equilibrio hacia la reacción (11), donde cinco unidades de Zn(OH)₂ se combinan con dos iones Cl⁻ y una molécula de agua para formar directamente la estructura de Zn₅(OH)₈Cl₂·H₂O. Esto se puede confirmar en la Figura 1b, en la que se observa que la muestra de 24 h presenta los picos de difracción más intensos y mejor definidos para la Simonkolleita, indicando el mayor grado de cristalinidad. A diferencia de la muestra envejecida, la de 12 h muestra picos de menor intensidad, mientras que la muestra sin envejecer presenta los picos más débiles y broaden, sugiriendo una transformación incompleta del precursor (He et al., 2019). Al igual que a pH 7, el tratamiento a 400 °C durante 3 h jugó un papel importante en la formación y cristalización de las tres muestras, especialmente en la reorganización estructural que conduce a la formación de Simonkolleite a partir de los iones disponibles (Qu et al., 2023). El tamaño de cristal se determinó utilizando la ecuación de Scherrer (1), obteniéndose 31 nm para 24 h, 24 nm para 12 h y 24.86 nm sin envejecer.

Imagen012

Microscopía Electrónica de Barrido (MEB)

Las micrografías de MEB se presentan en la Figura 2, con ampliación de 2000 X. En la Figura 2a se observan aglomerados en forma de plaqueta con morfología irregular (Soto et al., 2023). Estos aglomerados muestran una distribución de tamaño variable, sugiriendo que las partículas primarias se han unido para formar partículas más grandes. Esto se atribuye a que durante la síntesis, el Zn(OH)₂ inicia con el proceso de nucleación mediante el envejecimiento, formando pequeñas partículas primarias (Sarkar et al., 2023). El crecimiento de estas partículas ocurre a través de la adsorción de más iones Zn²⁺ y OH⁻ de la solución. Hernández- Díaz et al., (2024) demostró que las partículas primarias de ZnO tienden a aglomerarse debido a interacciones electrostáticas y fuerzas de Van der Waals. Este proceso de aglomeración puede dar lugar a la formación de estructuras más grandes y complejas, como las lajas o plaquetas. Las lajas se forman cuando las partículas secundarias (que, según lo reportado por Hernández-Díaz et al. (2024), son agregados de partículas primarias) crecen de manera preferencial en ciertas direcciones cristalográficas. Durante el envejecimiento, la solución se mantiene en reposo, permitiendo que las reacciones químicas y los procesos de nucleación y crecimiento se lleven a cabo. A mayor tiempo de envejecimiento se permite una mayor aglomeración, dando como resultado estructuras más definidas y mayores.

En la Figura 2b, correspondiente a la muestra a 24 h y pH 9, también se observan aglomerados de plaquetas con formas irregulares, sugerido a la alta concentración de iones OH⁻ y Cl⁻ favoreciendo su formación (Shaoqing et al., 2023). La abundancia de iones OH⁻ ha facilitado la formación de Simonkolleite, cuya estructura compacta y bien definida es evidente en las micrografías de MEB.

El proceso de formación de estas plaquetas irregulares indica que el ambiente alcalino y el largo período de envejecimiento han permitido que las partículas nuclean y crecen de manera preferencial en direcciones cristalográficas específicas. Este resultado subraya la importancia del pH y del tiempo de envejecimiento en la morfología final de los materiales sintetizados por métodos hidrotermales, destacando cómo estos factores pueden influir en la estructura y propiedades de los nanomateriales obtenidos.

Imagen013

Espectroscopía de Reflectancia Difusa (DRS)

La espectroscopía de reflectancia difusa (ERD) por UV-Vis se utilizó para investigar el comportamiento de absorción de luz de las muestras. Los resultados obtenidos se presentan en la Figura 3. En la Figura 3a se observa una caída de la reflexión del ZnO a una longitud de onda de 380 nm, lo que indica una transición en la capacidad del material para absorber luz en esa región del espectro electromagnético. Wu et al. (2019) reporta que esta longitud de onda pertenece a la región ultravioleta, donde el ZnO muestra una caída en 388 nm. Todas las muestras analizadas presentaron esta misma tendencia, lo que asegura que se obtuvo un material de ZnO puro independientemente del tiempo de envejecimiento. Sin embargo, se observa que la muestra a 24 h presenta un ligero incremento en la reflectancia pese a que la caída es la misma en todas las muestras. Esto se puede atribuir a dos factores: primero, al mayor tamaño de partícula; y segundo, a una estructura cristalina mejor ordenada, ya que la orientación de los cristales puede influir en la reflectancia (Wu et al., 2019).

En la Figura 4 se presenta el cálculo de la energía de banda prohibida utilizando los espectros de reflectancia y la ecuación de Kubelka-Munk (2) y (3). Los resultados obtenidos se muestran en la Figura 5. Para la muestra sin envejecimiento el ancho de banda de energía es de 3.22 eV, a las 12 h es de 3.17 eV, y a las 24 h, de 3.20 eV. Estos resultados coinciden con los datos reportados en la literatura del ancho de banda del ZnO (Soto, 2023).

Imagen014

Los resultados de reflectancia difusa por UV-Vis para Simonkolleite, presentados en la Figura 3b, muestran una caída a 378 nm, seguida de otra en la región cercana a los 200 nm. Dicho resultado concuerda con lo reportado en la literatura, indicando una interacción específica del material con la energía UV (Galindo Guzmán et al., 2023). Nuevamente se utilizaron las ecuaciones (2) y (3) para los cálculos de las bandas de energía. Los resultados revelan un ancho de banda de energía de 3. 27 eV a 0 h, 3.17 eV para la de 12 h, y 3.24 eV para la de 24 h. Los resultados de reflectancia en la Figura 3b muestran que no hay mayores variaciones en la formación de Simonkolleite, salvo que la muestra con mayor reflectancia es la muestra envejecida a 12 h, rompiendo la tendencia con los resultados de ZnO. Esta variación en los valores de energía de banda prohibida podría atribuirse a la presencia de defectos en la red cristalina del material, como vacancias o impurezas, las cuales modifican localmente la estructura electrónica (Wu et al., 2019). Además, la muestra en la Figura 4e presenta una menor banda de energía de 3.17 eV, sugiriendo una menor energía requerida para la excitación de electrones, lo cual podría contribuir a una mejor respuesta a la energía UV y, por ende, a una mayor absorción de luz en comparación con otras condiciones de envejecimiento.

Imagen015

Conclusiones

A partir de los resultados obtenidos, se logró sintetizar ZnO y simonkolleita mediante el método hidrotermal utilizando ZnCl₂ y NH₄OH como precursores. Por lo que se concluye que el pH y el tiempo de envejecimiento son parámetros relevantes en la síntesis hidrotermal de nanomateriales, ya que controlan la formación y evolución de las fases cristalinas.

Los resultados indican que el pH influye directamente en la formación de las fases, a pH 7 se obtiene ZnO por deshidratación térmica de Zn(OH)₂, mientras que a pH 9 el exceso de iones OH⁻ y Cl⁻ favorece la formación de simonkolleita. El tiempo de envejecimiento incide en la formación y nucleación del material, ya que la muestra sin envejecer 0 h presentó los valores más bajos de tamaño de cristal y cristalinidad, mientras que un periodo de 24 h produjo un aumento significativo en ambos parámetros para las dos fases.

Los valores de banda prohibida de 3.20 eV para ZnO y 3.24 eV para simonkolleita confirmaron que el envejecimiento modifica principalmente los parámetros estructurales sin alterar las transiciones electrónicas fundamentales. Estos hallazgos evidencian la relación entre el pH y el tiempo de envejecimiento en la definición de las características estructurales de nanopartículas obtenidas por métodos hidrotermales.

Referencias

Cardoso, D., Narcy, A., Durosoy, S., & Chevalier, Y. (2022). The pH dependence of dissolution kinetics of zinc oxide. Colloids And Surfaces A Physicochemical And Engineering Aspects, 650, 129653. https://doi.org/10.1016/j.colsurfa.2022.129653

Cerda, M. J. (noviembre de 2022). Síntesis y caracterización de ZnO para aplicaciones fotocatalíticas. Tesis. Universidad de Ciencias y Artes de Chiapas. México.

Hernández-Díaz, Maleni N., Torres-Valencia, Nina, Miranda-Arámbula, Mariana, Ríos-Cortés, Ada M., Fernández-Luqueño, Fabián, López-Gayou, Valentín, & López-Valdez, Fernando. (2024). El rol de las plantas silvestres o cultivables de México en la síntesis de nanopartículas. M   undo nano. Revista interdisciplinaria en nanociencias y nanotecnología17(32), e00089. Epub 01 de abril de 2024.https://doi.org/10.22201/ceiich.24485691e.2024.32.69743

Galindo-Guzmán, Alma Patricia, Fortis-Hernández, Manuel, De La Rosa-Reta, Claudia Verónica, Zermeño-González, Héctor, & Galindo-Guzmán, Magdalena. (2022). Síntesis química de nanopartículas de óxido de zinc y su evaluación en plántulas de Lactuca sativa. Revista mexicana de ciencias agrícolas13(spe28), 299-308. 13 de enero de 2023.https://doi.org/10.29312/remexca.v13i28.3284

Galindo-Guzmán, Alma Patricia, Fortis-Hernández, Manuel, De La Rosa-Reta, Claudia Verónica, Zermeño-González, Héctor, & Galindo-Guzmán, Magdalena. (2022). Síntesis química de nanopartículas de óxido de zinc y su evaluación en plántulas de Lactuca sativa. Revista mexicana de ciencias agrícolas13(spe28), 299-308. Epub 13 de enero de 2023.https://doi.org/10.29312/remexca.v13i28.3284

Guzmán, A. P. (2022). Síntesis química de nanopartículas de óxido de zinc y su evaluación en plántulas de Lactuca sativa. Revista Mexicana de Ciencias Agrícolas, 299.

He, J., Hu, J., Mo, X., Hao, Q., Fan, Z., He, G., Wang, Y., Li, W., & He, Q. (2019). Novel photocatalyst nitrogen-doped simonkolleite Zn5(OH)8Cl2·H2O with vis-up-conversion photoluminescence and effective visible-light photocatalysis. Applied Physics. A, Materials Science and Processing (print), 125(1), p. 1-9. https://doi.org/10.1007/s00339-018-2275-0

Hegde, V. (2024). Study on structural, morphological, elastic and electrical properties of ZnO nanoparticles for electronic device applications. https://doi.org/10.1016/j.jsamd.2024.100733

Herrera, Elizabeth; Cadena, Francisco; Lascano Lascano (2010). Luis Estudio de la influencia del número de lavados y del tiempo de envejecimiento en la síntesis de nanopartículas de óxido de cinc por el Método de Precipitación Controlada. Revista Politécnica, vol. 31 https://www.redalyc.org/pdf/6887/688773658013.pdf

Kadam, V., Jagtap, C., Alshahrani, T., Lokhande, P., Al-Ahmed, A., Patole, S.P., Khan, F., & Pathan, H.M. (2023). Synthesis and characterization of ZnO nanoparticles and their application in dye-sensitized solar cells. Journal of Materials Science: Materials in Electronics, 34, 1-15.

Malaret, F., Qu, S., Hadjittofis, E., Hallett, J., Smith, R., & Sedransk Campbell, K. (2023). Controlling simonkolleite crystallisation via metallic Zn oxidation in a betaine hydrochloride solution. Nanoscale Advances, 2363-2666.

Muñoz-Echeverri, L., Campo-Avendaño, D., Hoyos-García, M., Velázquez, M. O., Muñoz-Vergara, J., & Giraldo-Correa, G. (2021). Síntesis verde de nanopartículas de ZnO con actividad antibacteriana para funcionalizar textiles de algodón. Informador Técnico85(2). https://doi.org/10.23850/22565035.3645

Pittayathorn Sratongkham, Rattana Chuenchom, Adisorn Tuantranont, Tanom Lomas, Kamol Wasapinyokul. Non-monotonic evolution of the responses of ZnO-nanoparticle UV-sensitive devices under ambient aging. Materials Today Communications 202336 , 106925. https://doi.org/10.1016/j.mtcomm.2023.106925

Sansenya, T., Masri, N., Chankhanittha, T., Senasu, T., Piriyanon, J., Mukdasai, S., & Nanan, S. (2021). Hydrothermal synthesis of ZnO photocatalyst for detoxification of anionic azo dyes and antibiotic. Journal Of Physics And Chemistry Of Solids, 160, 110353. https://doi.org/10.1016/j.jpcs.2021.110353

Sarkar, T. (2023). Estudios estructurales, espectroscópicos y morfológicos sobre nanopartículas verdes de ZnO sint. https://www.cn.aminer.org/pub/64a390c4d68f896efa1f5208

Shaoqing, Q. (2023). This is a repository copy of Controlling simonkolleite crystallisation via metallic Zn oxidation in a betaine hydrochloride solution.

Sofianos, V. M. (2021). Diverse morphologies of zinc oxide nanoparticles and their electrocatalytic performance in hydrogen production.

Soto, K. G. (mayo de 2023). Síntesis y caracterización de nanomateriales de ZnO y ZnSe para la producción fotocatalítica de hidrógeno. Universidad de Ciencias y Artes de Chiapas. https://repositorio.unicach.mx/handle/20.500.12753/4780

Sratongkham, P., Chuenchom, R., Tuantranont, A., Lomas, T., & Wasapinyokul, K. (2023). Non-monotonic evolution of the responses of ZnO-nanoparticle UV-sensitive devices under ambient aging. Materials Today Communications, 36, 106925. https://doi.org/10.1016/j.mtcomm.2023.106925

Qu, S., Hadjittofis, E., Malaret, F., Hallett, J., Smith, R., & Campbell, K. S. (2023). Controlling simonkolleite crystallisation via metallic Zn oxidation in a betaine hydrochloride solution. Nanoscale advances5(9), 2437–2452. https://doi.org/10.1039/d3na00108c

Widiyandari, H., Pratama, E. D., Parasdila, H., Suryana, R., Arutanti, O., & Astuti, Y. (2023). Synthesis of ZnO-Cdots nanoflower by hydrothermal method for antibacterial agent and dye photodegradation catalyst. Results In Materials, 20, 100491. https://doi.org/10.1016/j.rinma.2023.100491

Wu, Z., Chen, X., Liu, X., Yang, X., & Yang, Y. (2019). A Ternary Magnetic Recyclable ZnO/Fe3O4/g-C3N4 Composite Photocatalyst for Efficient Photodegradation of Monoazo Dye. Nanoscale research letters14(1), 147. https://doi.org/10.1186/s11671-019-2974-2

Yabalak, E. (2024). Synthesis of ZnO nanoparticles on the Zn plates recovered from waste batteries using eco-friendly methods and evaluation of its photocatalytical activity.